Includes tools to manipulate the pressure into different forms. More...


Public Member Functions | |
| TypeName ("pressure") | |
| Runtime type information. More... | |
| pressure (const word &name, const Time &runTime, const dictionary &) | |
| Construct from Time and dictionary. More... | |
| virtual | ~pressure () |
| Destructor. More... | |
| virtual bool | read (const dictionary &) |
| Read the pressure data. More... | |
Public Member Functions inherited from fieldExpression | |
| TypeName ("fieldExpression") | |
| Runtime type information. More... | |
| fieldExpression (const word &name, const Time &runTime, const dictionary &dict, const word &functionName, const word &defaultFieldName=word::null) | |
| Construct from Time and dictionary. More... | |
| fieldExpression (const fieldExpression &)=delete | |
| Disallow default bitwise copy construction. More... | |
| virtual | ~fieldExpression () |
| Destructor. More... | |
| virtual wordList | fields () const |
| Return the field required. More... | |
| virtual bool | execute () |
| Calculate the result field. More... | |
| virtual bool | write () |
| Write the result field. More... | |
| virtual bool | clear () |
| Clear the result field from the objectRegistry. More... | |
| void | operator= (const fieldExpression &)=delete |
| Disallow default bitwise assignment. More... | |
Public Member Functions inherited from fvMeshFunctionObject | |
| TypeName ("fvMeshFunctionObject") | |
| Runtime type information. More... | |
| fvMeshFunctionObject (const word &name, const Time &runTime, const dictionary &dict) | |
| Construct from Time and dictionary. More... | |
| fvMeshFunctionObject (const word &name, const objectRegistry &obr) | |
| Construct from the region objectRegistry. More... | |
| fvMeshFunctionObject (const fvMeshFunctionObject &)=delete | |
| Disallow default bitwise copy construction. More... | |
| virtual | ~fvMeshFunctionObject () |
| Destructor. More... | |
| const fvMesh & | mesh () const |
| Return a reference to the mesh. More... | |
| void | operator= (const fvMeshFunctionObject &)=delete |
| Disallow default bitwise assignment. More... | |
Public Member Functions inherited from regionFunctionObject | |
| TypeName ("regionFunctionObject") | |
| Runtime type information. More... | |
| regionFunctionObject (const word &name, const Time &runTime, const dictionary &dict) | |
| Construct from Time and dictionary. More... | |
| regionFunctionObject (const word &name, const objectRegistry &obr) | |
| Construct from the region objectRegistry. More... | |
| regionFunctionObject (const regionFunctionObject &)=delete | |
| Disallow default bitwise copy construction. More... | |
| virtual | ~regionFunctionObject () |
| Destructor. More... | |
| void | operator= (const regionFunctionObject &)=delete |
| Disallow default bitwise assignment. More... | |
Public Member Functions inherited from objectRegistryFunctionObject | |
| TypeName ("objectRegistryFunctionObject") | |
| Runtime type information. More... | |
| objectRegistryFunctionObject (const word &name, const objectRegistry &obr, const dictionary &dict) | |
| Construct from an objectRegistry and dictionary. More... | |
| objectRegistryFunctionObject (const word &name, const objectRegistry &obr) | |
| Construct from an objectRegistry. More... | |
| objectRegistryFunctionObject (const objectRegistryFunctionObject &)=delete | |
| Disallow default bitwise copy construction. More... | |
| virtual | ~objectRegistryFunctionObject () |
| Destructor. More... | |
| void | operator= (const objectRegistryFunctionObject &)=delete |
| Disallow default bitwise assignment. More... | |
Public Member Functions inherited from functionObject | |
| ClassName ("functionObject") | |
| virtual const word & | type () const =0 |
| Runtime type information. More... | |
| declareRunTimeSelectionTable (autoPtr, functionObject, dictionary,(const word &name, const Time &runTime, const dictionary &dict),(name, runTime, dict)) | |
| functionObject (const word &name, const Time &runTime) | |
| Construct from components. More... | |
| functionObject (const word &name, const Time &runTime, const dictionary &dict) | |
| Construct from dictionary. More... | |
| autoPtr< functionObject > | clone () const |
| Return clone. More... | |
| functionObject (const functionObject &)=delete | |
| Disallow default bitwise copy construction. More... | |
| virtual | ~functionObject () |
| Destructor. More... | |
| const word & | name () const |
| Return the name of this functionObject. More... | |
| virtual bool | executeAtStart () const |
| Return true if the functionObject should be executed at the start. More... | |
| virtual bool | end () |
| Called when Time::run() determines that the time-loop exits. More... | |
| virtual scalar | timeToNextAction () |
| Called by Time::adjustTimeStep(). Allows the functionObject to. More... | |
| virtual scalar | maxDeltaT () const |
| Return the maximum time-step for stable operation. More... | |
| virtual void | movePoints (const polyMesh &mesh) |
| Update topology using the given map. More... | |
| virtual void | topoChange (const polyTopoChangeMap &map) |
| Update topology using the given map. More... | |
| virtual void | mapMesh (const polyMeshMap &) |
| Update from another mesh using the given map. More... | |
| virtual void | distribute (const polyDistributionMap &) |
| Redistribute or update using the given distribution map. More... | |
| void | operator= (const functionObject &)=delete |
| Disallow default bitwise assignment. More... | |
Additional Inherited Members | |
Static Public Member Functions inherited from functionObject | |
| static autoPtr< functionObject > | New (const word &name, const Time &, const dictionary &) |
| Select from dictionary, based on its "type" entry. More... | |
Public Attributes inherited from functionObject | |
| Switch | log |
| Switch write log to Info. More... | |
| Switch | executeAtStart_ |
| Switch execute at start time. More... | |
Static Public Attributes inherited from functionObject | |
| static bool | postProcess |
| Global post-processing mode switch. More... | |
Protected Member Functions inherited from objectRegistryFunctionObject | |
| template<class ObjectType > | |
| bool | foundObject (const word &fieldName) const |
| Find field in the objectRegistry. More... | |
| template<class ObjectType > | |
| void | cannotFindObject (const word &fieldName) |
| Prints a warning message that fieldName cannot be found. More... | |
| void | cannotFindObject (const word &fieldName) |
| Prints a warning message that fieldName cannot be found. More... | |
| void | cannotFindObjects (const wordList &fieldNames) |
| Prints a warning message that fieldNames cannot be found. More... | |
| template<class ObjectType > | |
| const ObjectType & | lookupObject (const word &fieldName) const |
| Lookup object from the objectRegistry. More... | |
| template<class ObjectType > | |
| ObjectType & | lookupObjectRef (const word &fieldName) |
| Lookup non-const object reference from the objectRegistry. More... | |
| template<class ObjectType > | |
| ObjectType & | store (const tmp< ObjectType > &tfield) |
| Store the given field in the objectRegistry. More... | |
| template<class ObjectType > | |
| ObjectType & | store (const word &fieldName, const tmp< ObjectType > &tfield, bool cacheable=false) |
| Store the given field in the objectRegistry under the given name. More... | |
| bool | writeObject (const word &fieldName) |
| Write field if present in objectRegistry. More... | |
| bool | clearObject (const word &fieldName) |
| Clear field from the objectRegistry if present. More... | |
Protected Attributes inherited from fieldExpression | |
| const word | fieldName_ |
| Name of field to process. More... | |
| word | resultName_ |
| Name of result field. More... | |
Protected Attributes inherited from fvMeshFunctionObject | |
| const fvMesh & | mesh_ |
| Reference to the fvMesh. More... | |
Protected Attributes inherited from objectRegistryFunctionObject | |
| const objectRegistry & | obr_ |
| Reference to the objectRegistry. More... | |
Protected Attributes inherited from functionObject | |
| const Time & | time_ |
| Reference to time. More... | |
Includes tools to manipulate the pressure into different forms.
These currently include:
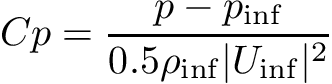
where
| = | Density [kg/m^3] | |
| = | Velocity [m/s] | |
| = | Freestream density [kg/m^3] | |
| = | Freestream pressure [Pa] | |
| = | Freestream velocity [m/s] | |
| = | Kinematic pressure (p/rho) [m^2/s^2] | |
| = | Pressure [Pa] | |
| = | Total pressure [Pa] | |
| = | Reference pressure level [Pa] | |
| = | Pressure coefficient | |
| = | Total pressure coefficient |
The function object will operate on both kinematic (
) and static pressure (
) fields, and the result is written as a volScalarField.
The modes of operation are:
| Mode | calcTotal | calcCoeff |
|---|---|---|
Static pressure | no | no |
Total pressure | yes | no |
Pressure coefficient | no | yes |
Total pressure coefficient | yes | yes |
Example of function object specification to calculate pressure coefficient:
pressure1
{
type pressure;
libs ("libfieldFunctionObjects.so");
...
calcTotal no;
calcCoeff yes;
}| Property | Description | Required | Default value |
|---|---|---|---|
type | type name: pressure | yes | |
field | Name of the pressure field | no | p |
U | Name of the velocity field | no | U |
rho | Name of the density field | no | rho |
result | Name of the resulting field | no | derived from p |
calcTotal | Calculate total coefficient | yes | |
pRef | Reference pressure for total pressure | no | 0 |
calcCoeff | Calculate pressure coefficient | yes | |
pInf | Freestream pressure for coefficient calculation | no | |
UInf | Freestream velocity for coefficient calculation | no | |
rhoInf | Freestream density for coefficient calculation | no |
Definition at line 254 of file pressure.H.
| pressure | ( | const word & | name, |
| const Time & | runTime, | ||
| const dictionary & | dict | ||
| ) |
Construct from Time and dictionary.
Definition at line 188 of file pressure.C.
References dict, Foam::dimPressure, and pressure::read().

|
virtual |
Destructor.
Definition at line 218 of file pressure.C.
| TypeName | ( | "pressure" | ) |
Runtime type information.
|
virtual |
Read the pressure data.
Reimplemented from objectRegistryFunctionObject.
Definition at line 224 of file pressure.C.
References dict, Foam::endl(), Foam::mag(), Foam::magSqr(), Foam::name(), Foam::type(), and WarningInFunction.
Referenced by pressure::pressure().

