Model of Luo (1993). The coalescence rate is calculated by. More...


Public Member Functions | |
| TypeName ("Luo") | |
| Runtime type information. More... | |
| Luo (const populationBalanceModel &popBal, const dictionary &dict) | |
| virtual | ~Luo () |
| Destructor. More... | |
| virtual void | addToCoalescenceRate (volScalarField::Internal &coalescenceRate, const label i, const label j) |
| Add to coalescenceRate. More... | |
Public Member Functions inherited from coalescenceModel | |
| TypeName ("coalescenceModel") | |
| Runtime type information. More... | |
| declareRunTimeSelectionTable (autoPtr, coalescenceModel, dictionary,(const populationBalanceModel &popBal, const dictionary &dict),(popBal, dict)) | |
| coalescenceModel (const populationBalanceModel &popBal, const dictionary &dict) | |
| autoPtr< coalescenceModel > | clone () const |
| virtual | ~coalescenceModel () |
| Destructor. More... | |
| virtual void | precompute () |
| Precompute diameter independent expressions. More... | |
Additional Inherited Members | |
Static Public Member Functions inherited from coalescenceModel | |
| static autoPtr< coalescenceModel > | New (const word &type, const populationBalanceModel &popBal, const dictionary &dict) |
Protected Attributes inherited from coalescenceModel | |
| const populationBalanceModel & | popBal_ |
| Reference to the populationBalanceModel. More... | |
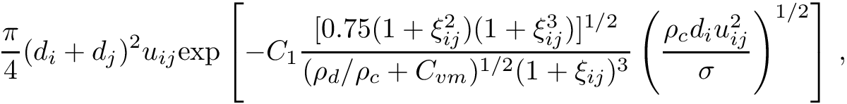
Model of Luo (1993). The coalescence rate is calculated by.
where
is the mean approach velocity of the bubbles and
their size ratio.
| = | Diameter of bubble i [m] | |
| = | Diameter of bubble j [m] | |
| = | Mean approach velocity [m/s] | |
| = | Bubble size ratio [-] | |
| = | Density of dispersed phase [kg/m^3] | |
| = | Density of continuous phase [kg/m^3] | |
| = | Surface tension [N/m] | |
| = | Virtual mass coefficient [-] | |
| = | Coefficient [-] | |
| = | Coefficient [-] | |
| = | Continuous phase turbulent dissipation rate [m^2/s^3] |
Reference:
Luo, H. (1993).
Coalescence, breakup and liquid circulation in bubble column reactors.
Dr. Ing (Doctoral dissertation, Thesis, Department of Chemical
Engineering, The Norwegian Institute of Technology, Trondheim, Norway).| Property | Description | Required | Default value |
|---|---|---|---|
beta | Coefficient beta | no | 2.0 |
C1 | Coefficient C1 | no | 1.0 |
| Luo | ( | const populationBalanceModel & | popBal, |
| const dictionary & | dict | ||
| ) |
| TypeName | ( | "Luo" | ) |
Runtime type information.
|
virtual |
Add to coalescenceRate.
Implements coalescenceModel.
Definition at line 70 of file Luo.C.
References Foam::cbrt(), sizeGroup::dSph(), Foam::exit(), Foam::exp(), Foam::FatalError, FatalErrorInFunction, phaseModel::name(), sizeGroup::phase(), Foam::constant::mathematical::pi(), Foam::pow(), Foam::pow3(), phaseModel::rho(), Foam::constant::physicoChemical::sigma, Foam::sqr(), and Foam::sqrt().
