Model of Luo and Svendsen (1996). The breakup rate is calculated by. More...


Public Member Functions | |
| TypeName ("LuoSvendsen") | |
| Runtime type information. More... | |
| LuoSvendsen (const populationBalanceModel &popBal, const dictionary &dict) | |
| virtual | ~LuoSvendsen () |
| Destructor. More... | |
| virtual void | precompute () |
| Precompute diameter independent expressions. More... | |
| virtual void | addToBinaryBreakupRate (volScalarField::Internal &binaryBreakupRate, const label i, const label j) |
| Add to binary breakupRate. More... | |
Public Member Functions inherited from binaryBreakupModel | |
| TypeName ("binaryBreakupModel") | |
| Runtime type information. More... | |
| declareRunTimeSelectionTable (autoPtr, binaryBreakupModel, dictionary,(const populationBalanceModel &popBal, const dictionary &dict),(popBal, dict)) | |
| binaryBreakupModel (const populationBalanceModel &popBal, const dictionary &dict) | |
| autoPtr< binaryBreakupModel > | clone () const |
| virtual | ~binaryBreakupModel () |
| Destructor. More... | |
Additional Inherited Members | |
Static Public Member Functions inherited from binaryBreakupModel | |
| static autoPtr< binaryBreakupModel > | New (const word &type, const populationBalanceModel &popBal, const dictionary &dict) |
Protected Attributes inherited from binaryBreakupModel | |
| const populationBalanceModel & | popBal_ |
| Reference to the populationBalanceModel. More... | |
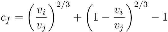
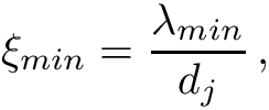
Model of Luo and Svendsen (1996). The breakup rate is calculated by.
where
and
The integral in the first expression is solved by means of incomplete Gamma functions as given by Bannari et al. (2008):
where
and
Note that in the code, the upper incomplete gamma function is expressed as
| = | Void fraction of continuous phase [-] | |
| = | Turbulent dissipation rate of continuous phase [m^2/s^3] | |
| = | Diameter of mother bubble j [m^3] | |
| = | Volume of daughter bubble i [m^3] | |
| = | Volume of mother bubble j [m^3] | |
| = | Integration variable [-] | |
| = | Lower bound of integral [-] | |
| = | Increase coefficient of surface area [-] | |
| = | Surface tension [N/m] | |
| = | Density of continuous phase [kg/m^3] | |
| = | Kolmogorov length scale [m] | |
| = | Upper incomplete gamma function | |
| = | Regularised upper incomplete gamma function | |
| = | Gamma function |
References:
Luo, H., & Svendsen, H. F. (1996).
Theoretical model for drop and bubble breakup in turbulent dispersions.
AIChE Journal, 42(5), 1225-1233.
Eq. 27, p. 1229. Bannari, R., Kerdouss, F., Selma, B., Bannari, A., & Proulx, P. (2008).
Three-dimensional mathematical modeling of dispersed two-phase flow
using class method of population balance in bubble columns.
Computers & chemical engineering, 32(12), 3224-3237.
Eq. 49, p. 3230.| Property | Description | Required | Default value |
|---|---|---|---|
C4 | Coefficient C4 | no | 0.923 |
beta | Coefficient beta | no | 2.05 |
C5 | Minimum eddy ratio | no | 11.4 |
Definition at line 228 of file LuoSvendsen.H.
| LuoSvendsen | ( | const populationBalanceModel & | popBal, |
| const dictionary & | dict | ||
| ) |
Definition at line 53 of file LuoSvendsen.C.
References List< T >::append(), tableBase::clamp, Foam::e, and Foam::incGammaRatio_Q().

|
inlinevirtual |
Destructor.
Definition at line 274 of file LuoSvendsen.H.
| TypeName | ( | "LuoSvendsen" | ) |
Runtime type information.
|
virtual |
Precompute diameter independent expressions.
Reimplemented from binaryBreakupModel.
Definition at line 150 of file LuoSvendsen.C.
References Foam::pow025(), and Foam::pow3().

|
virtual |
Add to binary breakupRate.
Implements binaryBreakupModel.
Definition at line 165 of file LuoSvendsen.C.
References b, Foam::cbrt(), sizeGroup::dSph(), forAll, sizeGroup::phase(), Foam::pow(), Foam::constant::physicoChemical::sigma, Foam::sqr(), and sizeGroup::x().
