Model of Lehr et al. (2002). The breakup rate is calculated by. More...


Public Member Functions | |
| TypeName ("LehrMilliesMewes") | |
| Runtime type information. More... | |
| LehrMilliesMewes (const populationBalanceModel &popBal, const dictionary &dict) | |
| virtual | ~LehrMilliesMewes () |
| Destructor. More... | |
| virtual void | addToBinaryBreakupRate (volScalarField::Internal &binaryBreakupRate, const label i, const label j) |
| Add to binary breakupRate. More... | |
Public Member Functions inherited from binaryBreakupModel | |
| TypeName ("binaryBreakupModel") | |
| Runtime type information. More... | |
| declareRunTimeSelectionTable (autoPtr, binaryBreakupModel, dictionary,(const populationBalanceModel &popBal, const dictionary &dict),(popBal, dict)) | |
| binaryBreakupModel (const populationBalanceModel &popBal, const dictionary &dict) | |
| autoPtr< binaryBreakupModel > | clone () const |
| virtual | ~binaryBreakupModel () |
| Destructor. More... | |
| virtual void | precompute () |
| Precompute diameter independent expressions. More... | |
Additional Inherited Members | |
Static Public Member Functions inherited from binaryBreakupModel | |
| static autoPtr< binaryBreakupModel > | New (const word &type, const populationBalanceModel &popBal, const dictionary &dict) |
Protected Attributes inherited from binaryBreakupModel | |
| const populationBalanceModel & | popBal_ |
| Reference to the populationBalanceModel. More... | |
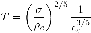
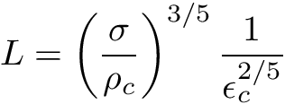
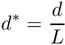
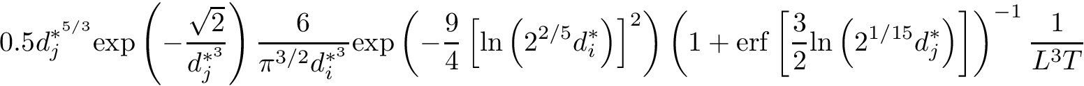
Model of Lehr et al. (2002). The breakup rate is calculated by.
with the time scale
the dimensionless diameter
and the length scale
| = | Density of continuous phase [kg/m^3] | |
| = | Surface tension [N/m] | |
| = | Continuous phase turbulent dissipation rate [m^2/s^3] | |
| = | Diameter of daughter bubble i [m] | |
| = | Diameter of mother bubble j [m] |
References:
Lehr, F., Millies, M., & Mewes, D. (2002).
Bubbleâsize distributions and flow fields in bubble columns.
AIChE Journal, 48(11), 2426-2443.
Eq. 12-16, p. 2429-2430.Definition at line 123 of file LehrMilliesMewes.H.
| LehrMilliesMewes | ( | const populationBalanceModel & | popBal, |
| const dictionary & | dict | ||
| ) |
Definition at line 53 of file LehrMilliesMewes.C.
|
inlinevirtual |
Destructor.
Definition at line 142 of file LehrMilliesMewes.H.
| TypeName | ( | "LehrMilliesMewes" | ) |
Runtime type information.
|
virtual |
Add to binary breakupRate.
Implements binaryBreakupModel.
Definition at line 65 of file LehrMilliesMewes.C.
References DimensionedField< Type, GeoMesh, PrimitiveField >::dimensions(), Foam::dimLength, sizeGroup::dSph(), Foam::erf(), Foam::exp(), Foam::log(), Foam::max(), sizeGroup::phase(), Foam::constant::mathematical::pi(), Foam::pow(), Foam::pow3(), dimensionSet::reset(), Foam::constant::physicoChemical::sigma, Foam::sqr(), Foam::sqrt(), and Foam::T().
