Cross-Power law generalised Newtonian viscosity model. More...


Public Member Functions | |
| TypeName ("CrossPowerLaw") | |
| Runtime type information. More... | |
| CrossPowerLaw (const dictionary &viscosityProperties, const Foam::viscosity &viscosity, const volVectorField &U) | |
| Construct from components. More... | |
| virtual | ~CrossPowerLaw () |
| Destructor. More... | |
| virtual bool | read (const dictionary &viscosityProperties) |
| Read transportProperties dictionary. More... | |
| virtual tmp< volScalarField > | nu (const volScalarField &nu0, const volScalarField &strainRate) const |
| Return the laminar viscosity. More... | |
Public Member Functions inherited from strainRateViscosityModel | |
| TypeName ("strainRateViscosityModel") | |
| Runtime type information. More... | |
| strainRateViscosityModel (const dictionary &viscosityProperties, const viscosity &viscosity, const volVectorField &U) | |
| Construct from components. More... | |
| strainRateViscosityModel (const strainRateViscosityModel &)=delete | |
| Disallow default bitwise copy construction. More... | |
| virtual | ~strainRateViscosityModel () |
| Destructor. More... | |
| virtual tmp< volScalarField > | nu () const |
| Return the laminar viscosity. More... | |
| virtual tmp< scalarField > | nu (const label patchi) const |
| Return the laminar viscosity for patch. More... | |
| virtual void | correct () |
| Correct the laminar viscosity. More... | |
| void | operator= (const strainRateViscosityModel &)=delete |
| Disallow default bitwise assignment. More... | |
Public Member Functions inherited from generalisedNewtonianViscosityModel | |
| TypeName ("generalisedNewtonianViscosityModel") | |
| Runtime type information. More... | |
| declareRunTimeSelectionTable (autoPtr, generalisedNewtonianViscosityModel, dictionary,(const dictionary &viscosityProperties, const viscosity &viscosity, const volVectorField &U),(viscosityProperties, viscosity, U)) | |
| generalisedNewtonianViscosityModel (const dictionary &viscosityProperties, const viscosity &viscosity, const volVectorField &U) | |
| Construct from components. More... | |
| generalisedNewtonianViscosityModel (const generalisedNewtonianViscosityModel &)=delete | |
| Disallow default bitwise copy construction. More... | |
| virtual | ~generalisedNewtonianViscosityModel () |
| Destructor. More... | |
| void | operator= (const generalisedNewtonianViscosityModel &)=delete |
| Disallow default bitwise assignment. More... | |
Public Member Functions inherited from viscosity | |
| TypeName ("viscosity") | |
| Runtime type information. More... | |
| viscosity () | |
| Construct. More... | |
| viscosity (const viscosity &)=delete | |
| Disallow default bitwise copy construction. More... | |
| virtual | ~viscosity () |
| Destructor. More... | |
| void | operator= (const viscosity &)=delete |
| Disallow default bitwise assignment. More... | |
Additional Inherited Members | |
Static Public Member Functions inherited from generalisedNewtonianViscosityModel | |
| static autoPtr< generalisedNewtonianViscosityModel > | New (const dictionary &viscosityProperties, const viscosity &viscosity, const volVectorField &U) |
| Return a reference to the selected viscosity model. More... | |
Protected Member Functions inherited from strainRateViscosityModel | |
| virtual tmp< volScalarField > | strainRate () const |
| Return the strain-rate obtained from the velocity field. More... | |
Protected Attributes inherited from generalisedNewtonianViscosityModel | |
| const viscosity & | viscosity_ |
| Reference to the fluid Newtonian viscosity. More... | |
| const volVectorField & | U_ |
| Reference to the velocity field. More... | |
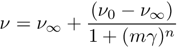
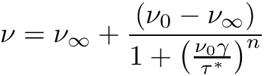
Cross-Power law generalised Newtonian viscosity model.
The coefficient applied to strain rate
can be specified either as the constant m or the critical stress level at the transition to shear thinning tauStar if tauStar is provided:
Kinematic viscosity [m^2/s]
or
Example specification:
viscosityModel CrossPowerLaw;
nuInf 10;
m 0.4;
n 3;
Note the viscosity nu0 at zero strain rate is a physical property, generally specified in the physicalProperties file.
Definition at line 82 of file CrossPowerLaw.H.
| CrossPowerLaw | ( | const dictionary & | viscosityProperties, |
| const Foam::viscosity & | viscosity, | ||
| const volVectorField & | U | ||
| ) |
Construct from components.
Definition at line 52 of file CrossPowerLaw.C.
References strainRateViscosityModel::correct(), and CrossPowerLaw::read().

|
inlinevirtual |
Destructor.
Definition at line 112 of file CrossPowerLaw.H.
| TypeName | ( | "CrossPowerLaw" | ) |
Runtime type information.
|
virtual |
Read transportProperties dictionary.
Implements generalisedNewtonianViscosityModel.
Definition at line 73 of file CrossPowerLaw.C.
References dictionary::found(), dictionary::optionalSubDict(), generalisedNewtonianViscosityModel::read(), and dictionary::read().
Referenced by CrossPowerLaw::CrossPowerLaw().


|
virtual |
Return the laminar viscosity.
Implements strainRateViscosityModel.
Definition at line 102 of file CrossPowerLaw.C.
References Foam::pow().
