Model of Prince and Blanch (1990). The coalescence rate is calculated by. More...


Public Member Functions | |
| TypeName ("PrinceBlanch") | |
| Runtime type information. More... | |
| PrinceBlanch (const populationBalanceModel &popBal, const dictionary &dict) | |
| virtual | ~PrinceBlanch () |
| Destructor. More... | |
| virtual void | precompute () |
| Precompute diameter independent expressions. More... | |
| virtual void | addToCoalescenceRate (volScalarField::Internal &coalescenceRate, const label i, const label j) |
| Add to coalescenceRate. More... | |
Public Member Functions inherited from coalescenceModel | |
| TypeName ("coalescenceModel") | |
| Runtime type information. More... | |
| declareRunTimeSelectionTable (autoPtr, coalescenceModel, dictionary,(const populationBalanceModel &popBal, const dictionary &dict),(popBal, dict)) | |
| coalescenceModel (const populationBalanceModel &popBal, const dictionary &dict) | |
| autoPtr< coalescenceModel > | clone () const |
| virtual | ~coalescenceModel () |
| Destructor. More... | |
Additional Inherited Members | |
Static Public Member Functions inherited from coalescenceModel | |
| static autoPtr< coalescenceModel > | New (const word &type, const populationBalanceModel &popBal, const dictionary &dict) |
Protected Attributes inherited from coalescenceModel | |
| const populationBalanceModel & | popBal_ |
| Reference to the populationBalanceModel. More... | |
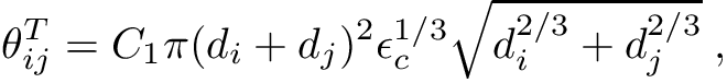
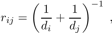
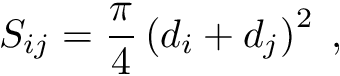
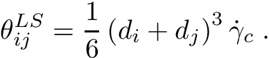
Model of Prince and Blanch (1990). The coalescence rate is calculated by.
with the coalescence efficiency
the turbulent collision rate
the buoyancy-driven collision rate
and the laminar shear collision rate
The rise velocity of bubble i is calculated by
the equivalent radius by
the collision cross sectional area by
and the shear strain rate by
Note that in equation 2, the bubble radius has been substituted by the bubble diameter, which leads to a different coefficient in equation 8. Also the expression for the equivalent radius, equation 19 was corrected.
| = | Turbulent collision rate [m3/s] | |
| = | Buoyancy-driven collision rate [m3/s] | |
| = | Laminar shear collision rate [m3/s] | |
| = | Coalescence efficiency [-] | |
| = | Equivalent radius [m] | |
| = | Density of continuous phase [kg/m3] | |
| = | Surface tension [N/m] | |
| = | Initial film thickness [m] | |
| = | Critical film thickness [m] | |
| = | Continuous phase turbulent dissipation rate [m2/s3] | |
| = | Diameter of bubble i [m] | |
| = | Diameter of bubble j [m] | |
| = | Rise velocity of bubble i [m/s] | |
| = | Collision cross sectional area [m2] | |
| = | Gravitational constant [m/s2] | |
| = | Continuous phase shear strain rate [1/s] | |
| = | Continuous phase velocity field [m/s] |
Reference:
Prince, M. J., & Blanch, H. W. (1990).
Bubble coalescence and break‐up in air‐sparged bubble columns.
AIChE journal, 36(10), 1485-1499.| Property | Description | Required | Default value |
|---|---|---|---|
C1 | coefficient C1 | no | 0.356 |
h0 | initial film thickness | no | 1e-4m |
hf | critical film thickness | no | 1e-8m |
turbulence | Switch for collisions due to turbulence | yes | none |
buoyancy | Switch for collisions due to buoyancy | yes | none |
laminarShear | Switch for collisions due to laminar shear | yes | none |
Definition at line 259 of file PrinceBlanch.H.
| PrinceBlanch | ( | const populationBalanceModel & | popBal, |
| const dictionary & | dict | ||
| ) |
Definition at line 56 of file PrinceBlanch.C.
References Foam::dimLength, Foam::dimVelocity, populationBalanceModel::mesh(), dimensioned< Type >::name(), coalescenceModel::popBal_, IOobject::time(), and Foam::Zero.

|
inlinevirtual |
Destructor.
Definition at line 302 of file PrinceBlanch.H.
| TypeName | ( | "PrinceBlanch" | ) |
Runtime type information.
|
virtual |
Precompute diameter independent expressions.
Reimplemented from coalescenceModel.
Definition at line 98 of file PrinceBlanch.C.
References Foam::fvc::grad(), Foam::mag(), Foam::sqrt(), and Foam::symm().

|
virtual |
Add to coalescenceRate.
Implements coalescenceModel.
Definition at line 108 of file PrinceBlanch.C.
References Foam::cbrt(), sizeGroup::dSph(), Foam::exp(), Foam::log(), Foam::mag(), sizeGroup::phase(), Foam::constant::mathematical::pi(), Foam::pow(), Foam::pow3(), Foam::constant::physicoChemical::sigma, Foam::sqr(), and Foam::sqrt().
