Model of Lehr et al. (2002). The coalescence rate is calculated by. More...


Public Member Functions | |
| TypeName ("LehrMilliesMewes") | |
| Runtime type information. More... | |
| LehrMilliesMewesCoalescence (const populationBalanceModel &popBal, const dictionary &dict) | |
| virtual | ~LehrMilliesMewesCoalescence () |
| Destructor. More... | |
| virtual void | addToCoalescenceRate (volScalarField::Internal &coalescenceRate, const label i, const label j) |
| Add to coalescenceRate. More... | |
Public Member Functions inherited from coalescenceModel | |
| TypeName ("coalescenceModel") | |
| Runtime type information. More... | |
| declareRunTimeSelectionTable (autoPtr, coalescenceModel, dictionary,(const populationBalanceModel &popBal, const dictionary &dict),(popBal, dict)) | |
| coalescenceModel (const populationBalanceModel &popBal, const dictionary &dict) | |
| autoPtr< coalescenceModel > | clone () const |
| virtual | ~coalescenceModel () |
| Destructor. More... | |
| virtual void | precompute () |
| Precompute diameter independent expressions. More... | |
Additional Inherited Members | |
Static Public Member Functions inherited from coalescenceModel | |
| static autoPtr< coalescenceModel > | New (const word &type, const populationBalanceModel &popBal, const dictionary &dict) |
Protected Attributes inherited from coalescenceModel | |
| const populationBalanceModel & | popBal_ |
| Reference to the populationBalanceModel. More... | |
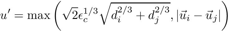
Model of Lehr et al. (2002). The coalescence rate is calculated by.
where
is the characteristic velocity for coalescence. Note that a velocity difference between bubble i and j is only present if the corresponding size groups are assigned to different velocity groups.
| = | Diameter of bubble i [m] | |
| = | Diameter of bubble j [m] | |
| = | Turbulent dissipation rate of continuous phase [m^2/s^3] | |
| = | Total void fraction of the bubbles [-] | |
| = | Maximum packing density of the bubbles [-] | |
| = | Critical velocity for coalescence [m/s] | |
| = | Velocity vector of bubble i [m/s] | |
| = | Velocity vector of bubble j [m/s] |
Reference:
Lehr, F., Millies, M., & Mewes, D. (2002).
Bubbleâsize distributions and flow fields in bubble columns.
AIChE Journal, 48(11), 2426-2443.| Property | Description | Required | Default value |
|---|---|---|---|
uCrit | Crit. coalescence velocity | no | 0.08 |
alphaMax | Maximum packing density | no | 0.6 |
Definition at line 148 of file LehrMilliesMewesCoalescence.H.
| LehrMilliesMewesCoalescence | ( | const populationBalanceModel & | popBal, |
| const dictionary & | dict | ||
| ) |
Definition at line 53 of file LehrMilliesMewesCoalescence.C.
|
inlinevirtual |
Destructor.
Definition at line 176 of file LehrMilliesMewesCoalescence.H.
| TypeName | ( | "LehrMilliesMewes" | ) |
Runtime type information.
|
virtual |
Add to coalescenceRate.
Implements coalescenceModel.
Definition at line 68 of file LehrMilliesMewesCoalescence.C.
References Foam::cbrt(), sizeGroup::dSph(), Foam::exp(), Foam::mag(), Foam::max(), Foam::min(), sizeGroup::phase(), Foam::constant::mathematical::pi(), phaseModel::residualAlpha(), Foam::sqr(), Foam::sqrt(), and phaseModel::U().
