Model of Laakkonen et al. (2007). The total breakup rate is calculated by. More...


Public Member Functions | |
| TypeName ("Laakkonen") | |
| Runtime type information. More... | |
| Laakkonen (const populationBalanceModel &popBal, const dictionary &dict) | |
| virtual | ~Laakkonen () |
| Destructor. More... | |
| virtual void | setBreakupRate (volScalarField::Internal &breakupRate, const label i) |
| Set total breakupRate. More... | |
Public Member Functions inherited from breakupModel | |
| TypeName ("breakupModel") | |
| Runtime type information. More... | |
| declareRunTimeSelectionTable (autoPtr, breakupModel, dictionary,(const populationBalanceModel &popBal, const dictionary &dict),(popBal, dict)) | |
| breakupModel (const populationBalanceModel &popBal, const dictionary &dict) | |
| autoPtr< breakupModel > | clone () const |
| virtual | ~breakupModel () |
| Destructor. More... | |
| const populationBalanceModel & | popBal () const |
| Return reference to the populationBalanceModel. More... | |
| const autoPtr< daughterSizeDistributionModel > & | dsdPtr () const |
| Return const-reference to daughter size distribution pointer. More... | |
| autoPtr< daughterSizeDistributionModel > & | dsdPtr () |
| Return reference to daughter size distribution pointer. More... | |
| virtual void | precompute () |
| Precompute diameter independent expressions. More... | |
Additional Inherited Members | |
Static Public Member Functions inherited from breakupModel | |
| static autoPtr< breakupModel > | New (const word &type, const populationBalanceModel &popBal, const dictionary &dict) |
Protected Attributes inherited from breakupModel | |
| const populationBalanceModel & | popBal_ |
| Reference to the populationBalanceModel. More... | |
| autoPtr< daughterSizeDistributionModel > | dsd_ |
| Daughter size distribution model. More... | |
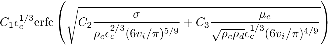
Model of Laakkonen et al. (2007). The total breakup rate is calculated by.
where
| = | Surface tension [N/m] | |
| = | Volume of mother bubble i [m3] | |
| = | Turbulent dissipation rate of continuous phase [m^2/s^3] | |
| = | Molecular dynamic viscosity of liquid phase [Pa s] | |
| = | Density of continuous phase [kg/m^3] | |
| = | Density of disperse phase [kg/m^3] |
References:
Laakkonen, M., Moilanen, P., Alopaeus, V., & Aittamaa, J. (2007).
Modelling local bubble size distributions in agitated vessels.
Chemical Engineering Science, 62, 721–740.| Property | Description | Required | Default value |
|---|---|---|---|
C1 | coefficient C1 | no | 2.25 |
C2 | coefficient C2 | no | 0.04 |
C3 | coefficient C3 | no | 0.01 |
daughterSizeDistributionModel | inh. from breakupModel | inherited |
Definition at line 141 of file Laakkonen.H.
| Laakkonen | ( | const populationBalanceModel & | popBal, |
| const dictionary & | dict | ||
| ) |
Definition at line 52 of file Laakkonen.C.
|
inlinevirtual |
Destructor.
Definition at line 172 of file Laakkonen.H.
| TypeName | ( | "Laakkonen" | ) |
Runtime type information.
|
virtual |
Set total breakupRate.
Implements breakupModel.
Definition at line 68 of file Laakkonen.C.
References Foam::cbrt(), sizeGroup::dSph(), Foam::erfc(), sizeGroup::phase(), Foam::pow(), phaseModel::rho(), Foam::constant::physicoChemical::sigma, and Foam::sqrt().
