This boundary condition provides a turbulent kinematic viscosity condition when using wall functions for rough walls, based on velocity, using Spalding's law to give a continuous nut profile to the wall (y+ = 0) More...


Public Member Functions | |
| TypeName ("nutUSpaldingWallFunction") | |
| Runtime type information. More... | |
| nutUSpaldingWallFunctionFvPatchScalarField (const fvPatch &, const DimensionedField< scalar, volMesh > &, const dictionary &) | |
| Construct from patch, internal field and dictionary. More... | |
| nutUSpaldingWallFunctionFvPatchScalarField (const nutUSpaldingWallFunctionFvPatchScalarField &, const fvPatch &, const DimensionedField< scalar, volMesh > &, const fieldMapper &) | |
| Construct by mapping given. More... | |
| nutUSpaldingWallFunctionFvPatchScalarField (const nutUSpaldingWallFunctionFvPatchScalarField &)=delete | |
| Disallow copy without setting internal field reference. More... | |
| nutUSpaldingWallFunctionFvPatchScalarField (const nutUSpaldingWallFunctionFvPatchScalarField &, const DimensionedField< scalar, volMesh > &) | |
| Copy constructor setting internal field reference. More... | |
| virtual tmp< fvPatchScalarField > | clone (const DimensionedField< scalar, volMesh > &iF) const |
| Construct and return a clone setting internal field reference. More... | |
| virtual tmp< scalarField > | yPlus () const |
| Calculate and return the yPlus at the boundary. More... | |
| virtual void | write (Ostream &os) const |
| Write. More... | |
Public Member Functions inherited from nutWallFunctionFvPatchScalarField | |
| TypeName ("nutWallFunction") | |
| Runtime type information. More... | |
| nutWallFunctionFvPatchScalarField (const fvPatch &, const DimensionedField< scalar, volMesh > &, const dictionary &) | |
| Construct from patch, internal field and dictionary. More... | |
| nutWallFunctionFvPatchScalarField (const nutWallFunctionFvPatchScalarField &, const fvPatch &, const DimensionedField< scalar, volMesh > &, const fieldMapper &) | |
| Construct by mapping given. More... | |
| nutWallFunctionFvPatchScalarField (const nutWallFunctionFvPatchScalarField &)=delete | |
| Disallow copy without setting internal field reference. More... | |
| nutWallFunctionFvPatchScalarField (const nutWallFunctionFvPatchScalarField &, const DimensionedField< scalar, volMesh > &) | |
| Copy constructor setting internal field reference. More... | |
| scalar | Cmu () const |
| Return Cmu. More... | |
| scalar | kappa () const |
| Return kappa. More... | |
| scalar | E () const |
| Return E. More... | |
| scalar | yPlusLam () const |
| Return the Y+ at the edge of the laminar sublayer. More... | |
| virtual void | map (const fvPatchScalarField &, const fieldMapper &) |
| Map the given fvPatchField onto this fvPatchField. More... | |
| virtual void | updateCoeffs () |
| Update the coefficients associated with the patch field. More... | |
Protected Member Functions | |
| virtual tmp< scalarField > | nut () const |
| Calculate the turbulence viscosity. More... | |
| virtual tmp< scalarField > | calcUTau (const scalarField &magGradU) const |
| Calculate the friction velocity. More... | |
Protected Member Functions inherited from nutWallFunctionFvPatchScalarField | |
| virtual void | checkType () |
| Check the type of the patch. More... | |
| virtual void | writeLocalEntries (Ostream &) const |
| Write local wall function variables. More... | |
Additional Inherited Members | |
Static Public Member Functions inherited from nutWallFunctionFvPatchScalarField | |
| static const nutWallFunctionFvPatchScalarField & | nutw (const momentumTransportModel &turbModel, const label patchi) |
| Return the nut patchField for the given wall patch. More... | |
| static scalar | yPlusLam (const scalar kappa, const scalar E) |
| Calculate the Y+ at the edge of the laminar sublayer. More... | |
Protected Attributes inherited from nutWallFunctionFvPatchScalarField | |
| scalar | Cmu_ |
| Cmu coefficient. More... | |
| scalar | kappa_ |
| Von Karman constant. More... | |
| scalar | E_ |
| E coefficient. More... | |
| scalar | yPlusLam_ |
| Y+ at the edge of the laminar sublayer. More... | |
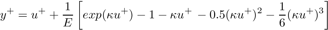
This boundary condition provides a turbulent kinematic viscosity condition when using wall functions for rough walls, based on velocity, using Spalding's law to give a continuous nut profile to the wall (y+ = 0)
where
| = | non-dimensional position | |
| = | non-dimensional velocity | |
| = | Von Karman constant |
Reference:
Spalding, D. B., (1961).
A Single Formula for the "Law of the Wall".
Journal of Applied Mechanics, 28(3), 455-458<patchName>
{
type nutUSpaldingWallFunction;
value uniform 0;
}
Definition at line 94 of file nutUSpaldingWallFunctionFvPatchScalarField.H.
| nutUSpaldingWallFunctionFvPatchScalarField | ( | const fvPatch & | p, |
| const DimensionedField< scalar, volMesh > & | iF, | ||
| const dictionary & | dict | ||
| ) |
Construct from patch, internal field and dictionary.
Definition at line 122 of file nutUSpaldingWallFunctionFvPatchScalarField.C.
Referenced by nutUSpaldingWallFunctionFvPatchScalarField::clone().

| nutUSpaldingWallFunctionFvPatchScalarField | ( | const nutUSpaldingWallFunctionFvPatchScalarField & | ptf, |
| const fvPatch & | p, | ||
| const DimensionedField< scalar, volMesh > & | iF, | ||
| const fieldMapper & | mapper | ||
| ) |
Construct by mapping given.
nutUSpaldingWallFunctionFvPatchScalarField onto a new patch
Definition at line 134 of file nutUSpaldingWallFunctionFvPatchScalarField.C.
|
delete |
Disallow copy without setting internal field reference.
| nutUSpaldingWallFunctionFvPatchScalarField | ( | const nutUSpaldingWallFunctionFvPatchScalarField & | wfpsf, |
| const DimensionedField< scalar, volMesh > & | iF | ||
| ) |
Copy constructor setting internal field reference.
Definition at line 147 of file nutUSpaldingWallFunctionFvPatchScalarField.C.
|
protectedvirtual |
Calculate the turbulence viscosity.
Implements nutWallFunctionFvPatchScalarField.
Definition at line 39 of file nutUSpaldingWallFunctionFvPatchScalarField.C.
References GeometricField< Type, GeoMesh, PrimitiveField >::boundaryField(), nutUSpaldingWallFunctionFvPatchScalarField::calcUTau(), Foam::mag(), Foam::max(), momentumTransportModel::nu(), patchi, Foam::sqr(), and momentumTransportModel::U().

|
protectedvirtual |
Calculate the friction velocity.
Definition at line 59 of file nutUSpaldingWallFunctionFvPatchScalarField.C.
References GeometricField< Type, GeoMesh, PrimitiveField >::boundaryField(), nutWallFunctionFvPatchScalarField::E_, Foam::exp(), f(), forAll, nutWallFunctionFvPatchScalarField::kappa_, Foam::mag(), magUp, Foam::max(), Foam::min(), momentumTransportModel::nu(), nutWallFunctionFvPatchScalarField::nutw(), patchi, fvPatchField< Type >::patchInternalField(), tmp< T >::ref(), Foam::sqr(), Foam::sqrt(), momentumTransportModel::U(), uTau, y, and momentumTransportModel::yb().
Referenced by nutUSpaldingWallFunctionFvPatchScalarField::nut(), and nutUSpaldingWallFunctionFvPatchScalarField::yPlus().


| TypeName | ( | "nutUSpaldingWallFunction" | ) |
Runtime type information.
|
inlinevirtual |
Construct and return a clone setting internal field reference.
Definition at line 150 of file nutUSpaldingWallFunctionFvPatchScalarField.H.
References nutUSpaldingWallFunctionFvPatchScalarField::nutUSpaldingWallFunctionFvPatchScalarField().

|
virtual |
Calculate and return the yPlus at the boundary.
Implements nutWallFunctionFvPatchScalarField.
Definition at line 160 of file nutUSpaldingWallFunctionFvPatchScalarField.C.
References GeometricField< Type, GeoMesh, PrimitiveField >::boundaryField(), nutUSpaldingWallFunctionFvPatchScalarField::calcUTau(), Foam::mag(), momentumTransportModel::nu(), patchi, fvPatchField< Type >::snGrad(), momentumTransportModel::U(), y, and momentumTransportModel::yb().

|
virtual |
Write.
Reimplemented from nutWallFunctionFvPatchScalarField.
Definition at line 176 of file nutUSpaldingWallFunctionFvPatchScalarField.C.
References fvPatchField< Type >::write(), Foam::writeEntry(), and nutWallFunctionFvPatchScalarField::writeLocalEntries().
