Thixotropic viscosity momentum transport model based on the evolution of the structural parameter
:
More...


Public Types | |
| typedef BasicMomentumTransportModel::alphaField | alphaField |
| typedef BasicMomentumTransportModel::rhoField | rhoField |
Public Types inherited from linearViscousStress< laminarModel< BasicMomentumTransportModel > > | |
| typedef BasicMomentumTransportModel::alphaField | alphaField |
| typedef BasicMomentumTransportModel::rhoField | rhoField |
Public Types inherited from laminarModel< BasicMomentumTransportModel > | |
| typedef BasicMomentumTransportModel::alphaField | alphaField |
| typedef BasicMomentumTransportModel::rhoField | rhoField |
Public Member Functions | |
| TypeName ("lambdaThixotropic") | |
| Runtime type information. More... | |
| lambdaThixotropic (const alphaField &alpha, const rhoField &rho, const volVectorField &U, const surfaceScalarField &alphaRhoPhi, const surfaceScalarField &phi, const viscosity &viscosity) | |
| Construct from components. More... | |
| virtual | ~lambdaThixotropic () |
| Destructor. More... | |
| virtual bool | read () |
| Read momentumTransport dictionary. More... | |
| virtual tmp< volScalarField > | nuEff () const |
| Return the effective viscosity. More... | |
| virtual tmp< scalarField > | nuEff (const label patchi) const |
| Return the effective viscosity on patch. More... | |
| virtual void | predict () |
| The lambdaThixotropic viscosity is not predicted. More... | |
| virtual void | correct () |
| Correct the lambdaThixotropic viscosity. More... | |
Public Member Functions inherited from linearViscousStress< laminarModel< BasicMomentumTransportModel > > | |
| Foam::tmp< Foam::fvVectorMatrix > | DivDevTau (const RhoFieldType &rho, volVectorField &U) const |
| linearViscousStress (const word &modelName, const alphaField &alpha, const rhoField &rho, const volVectorField &U, const surfaceScalarField &alphaRhoPhi, const surfaceScalarField &phi, const viscosity &viscosity) | |
| Construct from components. More... | |
| virtual | ~linearViscousStress () |
| Destructor. More... | |
| virtual tmp< surfaceVectorField > | devTau () const |
| Return the effective surface stress. More... | |
| virtual tmp< fvVectorMatrix > | divDevTau (volVectorField &U) const |
| Return the source term for the momentum equation. More... | |
| virtual tmp< fvVectorMatrix > | divDevTau (const volScalarField &rho, volVectorField &U) const |
| Return the source term for the momentum equation. More... | |
Public Member Functions inherited from laminarModel< BasicMomentumTransportModel > | |
| TypeName ("laminar") | |
| Runtime type information. More... | |
| declareRunTimeSelectionTable (autoPtr, laminarModel, dictionary,(const alphaField &alpha, const rhoField &rho, const volVectorField &U, const surfaceScalarField &alphaRhoPhi, const surfaceScalarField &phi, const viscosity &viscosity),(alpha, rho, U, alphaRhoPhi, phi, viscosity)) | |
| laminarModel (const word &type, const alphaField &alpha, const rhoField &rho, const volVectorField &U, const surfaceScalarField &alphaRhoPhi, const surfaceScalarField &phi, const viscosity &viscosity) | |
| Construct from components. More... | |
| laminarModel (const laminarModel &)=delete | |
| Disallow default bitwise copy construction. More... | |
| virtual | ~laminarModel () |
| Destructor. More... | |
| virtual tmp< volScalarField > | nut () const |
| Return the turbulence viscosity, i.e. 0 for laminar flow. More... | |
| virtual tmp< scalarField > | nut (const label patchi) const |
| Return the turbulence viscosity on patch. More... | |
| virtual tmp< volSymmTensorField > | R () const |
| Return the Reynolds stress tensor [m^2/s^2], i.e. 0 for laminar flow. More... | |
| virtual tmp< volScalarField > | k () const |
| Return the turbulence kinetic energy, i.e. 0 for laminar flow. More... | |
| virtual tmp< volScalarField > | epsilon () const |
| Return the turbulence kinetic energy dissipation rate,. More... | |
| virtual tmp< volScalarField > | omega () const |
| Return the turbulence specific dissipation rate,. More... | |
| void | operator= (const laminarModel &)=delete |
| Disallow default bitwise assignment. More... | |
Additional Inherited Members | |
Static Public Member Functions inherited from laminarModel< BasicMomentumTransportModel > | |
| static autoPtr< laminarModel > | New (const alphaField &alpha, const rhoField &rho, const volVectorField &U, const surfaceScalarField &alphaRhoPhi, const surfaceScalarField &phi, const viscosity &viscosity) |
| Return a reference to the selected laminar model. More... | |
Protected Member Functions inherited from linearViscousStress< laminarModel< BasicMomentumTransportModel > > | |
| tmp< fvVectorMatrix > | DivDevTau (const RhoFieldType &rho, volVectorField &U) const |
| Return the source term for the momentum equation. More... | |
Protected Member Functions inherited from laminarModel< BasicMomentumTransportModel > | |
| const dictionary & | laminarDict () const |
| Const access to the laminar dictionary. More... | |
| const dictionary & | coeffDict () const |
| Const access to the coefficients dictionary. More... | |
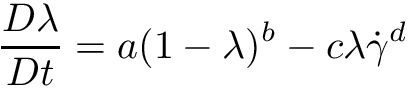
Thixotropic viscosity momentum transport model based on the evolution of the structural parameter
:
The viscosity is then calculated using the expression
Where the parameter K is given by:
Here:
| = | structural parameter | |
| = | model coefficient | |
| = | model coefficient | |
| = | model coefficient | |
| = | model coefficient | |
| = | stress rate [1/s] | |
| = | limiting viscosity when | |
| = | limiting viscosity when |
Reference:
Barnes H A, 1997. Thixotropy - a review. J. Non-Newtonian Fluid
Mech 70, pp 1-33Definition at line 119 of file lambdaThixotropic.H.
| typedef BasicMomentumTransportModel::alphaField alphaField |
Definition at line 182 of file lambdaThixotropic.H.
| typedef BasicMomentumTransportModel::rhoField rhoField |
Definition at line 183 of file lambdaThixotropic.H.
| lambdaThixotropic | ( | const alphaField & | alpha, |
| const rhoField & | rho, | ||
| const volVectorField & | U, | ||
| const surfaceScalarField & | alphaRhoPhi, | ||
| const surfaceScalarField & | phi, | ||
| const viscosity & | viscosity | ||
| ) |
Construct from components.
Definition at line 43 of file lambdaThixotropic.C.
|
inlinevirtual |
Destructor.
Definition at line 205 of file lambdaThixotropic.H.
| TypeName | ( | "lambdaThixotropic< BasicMomentumTransportModel >" | ) |
Runtime type information.
|
virtual |
Read momentumTransport dictionary.
Implements linearViscousStress< laminarModel< BasicMomentumTransportModel > >.
Definition at line 157 of file lambdaThixotropic.C.
References Foam::dimTime, Foam::pow(), and Foam::sqrt().

|
virtual |
Return the effective viscosity.
i.e. the lambdaThixotropic viscosity
Implements laminarModel< BasicMomentumTransportModel >.
Definition at line 188 of file lambdaThixotropic.C.
References GeometricField< Type, GeoMesh, PrimitiveField >::New().

|
virtual |
Return the effective viscosity on patch.
Implements laminarModel< BasicMomentumTransportModel >.
Definition at line 200 of file lambdaThixotropic.C.
References patchi.
|
inlinevirtual |
The lambdaThixotropic viscosity is not predicted.
Reimplemented from laminarModel< BasicMomentumTransportModel >.
Definition at line 222 of file lambdaThixotropic.H.
|
virtual |
Correct the lambdaThixotropic viscosity.
Implements linearViscousStress< laminarModel< BasicMomentumTransportModel > >.
Definition at line 210 of file lambdaThixotropic.C.
References alpha(), fvConstraints::constrain(), laminarModel< BasicMomentumTransportModel >::correct(), Foam::fvm::ddt(), Foam::dimless, Foam::fvm::div(), fvConstraints(), fvModels(), Foam::max(), dictionary::New(), Foam::pow(), tmp< T >::ref(), rho, Foam::solve(), fvModels::source(), and Foam::fvm::Sp().
