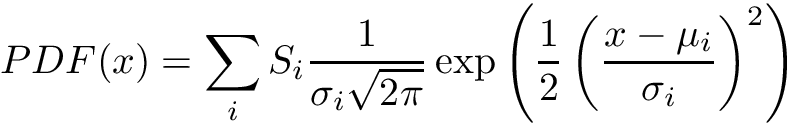
Multiple superimposed normal distributions. More...


Public Member Functions | |
| TypeName ("multiNormal") | |
| Runtime type information. More... | |
| multiNormal (const unitConversion &units, const dictionary &dict, const label sampleQ, randomGenerator &&rndGen) | |
| Construct from a dictionary. More... | |
| multiNormal (const multiNormal &d, const label sampleQ) | |
| Construct copy. More... | |
| virtual autoPtr< distribution > | clone (const label sampleQ) const |
| Construct and return a clone. More... | |
| virtual | ~multiNormal () |
| Destructor. More... | |
| virtual scalar | sampleForZeroQ () const |
| Sample the distribution for zero effective size exponent. More... | |
| virtual scalar | min () const |
| Return the minimum value. More... | |
| virtual scalar | max () const |
| Return the maximum value. More... | |
| virtual void | write (Ostream &os, const unitConversion &units) const |
| Write stream. More... | |
| virtual tmp< scalarField > | plotX (const label n) const |
| Return coordinates to plot across the range of the distribution. More... | |
Public Member Functions inherited from FieldDistribution< unintegrableForNonZeroQ, multiNormal > | |
| Type | sample () const |
| Sample the distribution into components of a primitive type. More... | |
| virtual tmp< scalarField > | sample (const label n) const |
| Sample the distribution into a field. More... | |
Additional Inherited Members | |
Protected Member Functions inherited from FieldDistribution< unintegrableForNonZeroQ, multiNormal > | |
| FOR_ALL_FIELD_TYPES (VIRTUAL_SAMPLE_TYPE) | |
Multiple superimposed normal distributions.
{
type multiNormal;
Q 0;
min 0.001;
max 0.019;
mu (0.005 0.011 0.015);
sigma (0.002 0.001 0.0015);
strength (2 1 3);
}
Definition at line 72 of file multiNormal.H.
| multiNormal | ( | const unitConversion & | units, |
| const dictionary & | dict, | ||
| const label | sampleQ, | ||
| randomGenerator && | rndGen | ||
| ) |
Construct from a dictionary.
Definition at line 105 of file multiNormal.C.
References Foam::abort(), dict, Foam::FatalIOError, FatalIOErrorInFunction, forAll, multiNormal::max(), multiNormal::min(), Foam::constant::physicoChemical::mu, Foam::nl, Foam::constant::physicoChemical::sigma, List< T >::size(), Foam::type(), and Foam::units().
Referenced by multiNormal::clone().


| multiNormal | ( | const multiNormal & | d, |
| const label | sampleQ | ||
| ) |
|
virtual |
Destructor.
Definition at line 212 of file multiNormal.C.
| TypeName | ( | "multiNormal" | ) |
Runtime type information.
|
inlinevirtual |
Construct and return a clone.
Definition at line 124 of file multiNormal.H.
References multiNormal::multiNormal().

|
virtual |
Sample the distribution for zero effective size exponent.
Definition at line 218 of file multiNormal.C.
References Foam::fvm::S(), and s().

|
virtual |
Return the minimum value.
Definition at line 239 of file multiNormal.C.
Referenced by multiNormal::multiNormal().

|
virtual |
Return the maximum value.
Definition at line 245 of file multiNormal.C.
Referenced by multiNormal::multiNormal().

|
virtual |
Write stream.
Definition at line 251 of file multiNormal.C.
References forAll, Foam::max(), Foam::min(), Foam::constant::physicoChemical::mu, Foam::constant::physicoChemical::sigma, Foam::units(), Foam::vtkWriteOps::write(), and Foam::writeEntry().

|
virtual |
Return coordinates to plot across the range of the distribution.
Definition at line 275 of file multiNormal.C.
References n.