This class provides functions to evaluate the velocity and turbulence distributions appropriate for atmospheric boundary layers (ABL). More...

Public Member Functions | |
| atmBoundaryLayer () | |
| Construct null. More... | |
| atmBoundaryLayer (const vector &flowDir, const vector &zDir, const scalar Uref, const scalar Zref, const scalarField &z0, const scalarField &zGround, const scalar kappa=kappaDefault_, const scalar Cmu=CmuDefault_, const scalar ULower=0, const scalar kLower=0, const scalar epsilonLower=0) | |
| Construct from components. More... | |
| atmBoundaryLayer (const vectorField &p, const dictionary &) | |
| Construct from the coordinates field and dictionary. More... | |
| atmBoundaryLayer (const atmBoundaryLayer &, const fieldMapper &) | |
| Construct by mapping given. More... | |
| atmBoundaryLayer (const atmBoundaryLayer &) | |
| Copy constructor. More... | |
| const vector & | flowDir () const |
| Return flow direction. More... | |
| const vector & | zDir () const |
| Return z-direction. More... | |
| const scalarField & | Ustar () const |
| Return friction velocity. More... | |
| void | map (const atmBoundaryLayer &, const fieldMapper &) |
| Map the given atmBoundaryLayer onto this atmBoundaryLayer. More... | |
| void | reset (const atmBoundaryLayer &) |
| Reset the atmBoundaryLayer to the given atmBoundaryLayer. More... | |
| tmp< vectorField > | U (const vectorField &p) const |
| Return the velocity distribution for the ATM. More... | |
| tmp< scalarField > | k (const vectorField &p) const |
| Return the turbulent kinetic energy distribution for the ATM. More... | |
| tmp< scalarField > | epsilon (const vectorField &p) const |
| Return the turbulent dissipation rate distribution for the ATM. More... | |
| void | write (Ostream &) const |
| Write. More... | |
This class provides functions to evaluate the velocity and turbulence distributions appropriate for atmospheric boundary layers (ABL).
The profile is derived from the friction velocity, flow direction and "vertical" direction:
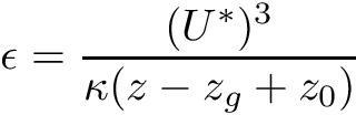
where
| = | Friction velocity | |
| = | von Karman's constant | |
| = | Turbulence viscosity coefficient | |
| = | Vertical coordinate | |
| = | Surface roughness height [m] | |
| = | Minimum z-coordinate [m] |
and
where
| = | Reference velocity at | |
| = | Reference height [m] |
Use in the atmBoundaryLayerInletVelocity, atmBoundaryLayerInletK and atmBoundaryLayerInletEpsilon boundary conditions.
Reference: D.M. Hargreaves and N.G. Wright, "On the use of the k-epsilon model in commercial CFD software to model the neutral atmospheric boundary layer", Journal of Wind Engineering and Industrial Aerodynamics 95(2007), pp 355-369.
| Property | Description | Required | Default |
|---|---|---|---|
flowDir | Flow direction | yes | |
zDir | Vertical direction | yes | |
kappa | von Karman's constant | no | 0.41 |
Cmu | Turbulence viscosity coefficient | no | 0.09 |
Uref | Reference velocity [m/s] | yes | |
Zref | Reference height [m] | yes | |
z0 | Surface roughness height [m] | yes | |
zGround | Minimum z-coordinate [m] | yes | |
Ulower | Velocity below the BL | no | |
kLower | Turbulence k below the BL | no | |
epsilonLower | Turbulence epsilon below the BL | no |
Example of the boundary condition specification:
ground
{
type atmBoundaryLayerInletVelocity;
flowDir (1 0 0);
zDir (0 0 1);
Uref 10.0;
Zref 20.0;
z0 uniform 0.1;
zGround uniform 0.0;
}Note: D.M. Hargreaves and N.G. Wright recommend Gamma epsilon in the k-epsilon model should be changed from 1.3 to 1.11 for consistency. The roughness height (Er) is given by Er = 20 z0 following the same reference.
Definition at line 220 of file atmBoundaryLayer.H.
| atmBoundaryLayer | ( | ) |
Construct null.
Definition at line 56 of file atmBoundaryLayer.C.
| atmBoundaryLayer | ( | const vector & | flowDir, |
| const vector & | zDir, | ||
| const scalar | Uref, | ||
| const scalar | Zref, | ||
| const scalarField & | z0, | ||
| const scalarField & | zGround, | ||
| const scalar | kappa = kappaDefault_, |
||
| const scalar | Cmu = CmuDefault_, |
||
| const scalar | ULower = 0, |
||
| const scalar | kLower = 0, |
||
| const scalar | epsilonLower = 0 |
||
| ) |
Construct from components.
Definition at line 74 of file atmBoundaryLayer.C.
| atmBoundaryLayer | ( | const vectorField & | p, |
| const dictionary & | dict | ||
| ) |
Construct from the coordinates field and dictionary.
Definition at line 107 of file atmBoundaryLayer.C.
| atmBoundaryLayer | ( | const atmBoundaryLayer & | abl, |
| const fieldMapper & | mapper | ||
| ) |
Construct by mapping given.
atmBoundaryLayer onto a new patch
Definition at line 139 of file atmBoundaryLayer.C.
| atmBoundaryLayer | ( | const atmBoundaryLayer & | abl | ) |
Copy constructor.
Definition at line 161 of file atmBoundaryLayer.C.
|
inline |
Return flow direction.
Definition at line 323 of file atmBoundaryLayer.H.
|
inline |
Return z-direction.
Definition at line 329 of file atmBoundaryLayer.H.
|
inline |
Return friction velocity.
Definition at line 335 of file atmBoundaryLayer.H.
| void map | ( | const atmBoundaryLayer & | blptf, |
| const fieldMapper & | mapper | ||
| ) |
Map the given atmBoundaryLayer onto this atmBoundaryLayer.
Definition at line 181 of file atmBoundaryLayer.C.
Referenced by atmBoundaryLayerInletEpsilonFvPatchScalarField::map(), atmBoundaryLayerInletKFvPatchScalarField::map(), and atmBoundaryLayerInletVelocityFvPatchVectorField::map().

| void reset | ( | const atmBoundaryLayer & | blptf | ) |
Reset the atmBoundaryLayer to the given atmBoundaryLayer.
Used for mesh to mesh mapping
Definition at line 193 of file atmBoundaryLayer.C.
Referenced by atmBoundaryLayerInletEpsilonFvPatchScalarField::reset(), atmBoundaryLayerInletKFvPatchScalarField::reset(), and atmBoundaryLayerInletVelocityFvPatchVectorField::reset().

| Foam::tmp< Foam::vectorField > U | ( | const vectorField & | p | ) | const |
Return the velocity distribution for the ATM.
Definition at line 201 of file atmBoundaryLayer.C.
References Foam::log(), Foam::max(), and p.
Referenced by atmBoundaryLayerInletVelocityFvPatchVectorField::atmBoundaryLayerInletVelocityFvPatchVectorField(), and waveAtmBoundaryLayerSuperposition::UGas().


| Foam::tmp< Foam::scalarField > k | ( | const vectorField & | p | ) | const |
Return the turbulent kinetic energy distribution for the ATM.
Definition at line 223 of file atmBoundaryLayer.C.
References Foam::neg(), p, Foam::pos0(), tmp< T >::ref(), Foam::sqr(), and Foam::sqrt().
Referenced by atmBoundaryLayerInletKFvPatchScalarField::atmBoundaryLayerInletKFvPatchScalarField().


| Foam::tmp< Foam::scalarField > epsilon | ( | const vectorField & | p | ) | const |
Return the turbulent dissipation rate distribution for the ATM.
Definition at line 243 of file atmBoundaryLayer.C.
References Foam::neg(), p, Foam::pos0(), Foam::pow3(), and tmp< T >::ref().
Referenced by atmBoundaryLayerInletEpsilonFvPatchScalarField::atmBoundaryLayerInletEpsilonFvPatchScalarField().


| void write | ( | Ostream & | os | ) | const |
Write.
Definition at line 263 of file atmBoundaryLayer.C.
References Foam::writeEntry().
Referenced by atmBoundaryLayerInletEpsilonFvPatchScalarField::write(), atmBoundaryLayerInletKFvPatchScalarField::write(), and atmBoundaryLayerInletVelocityFvPatchVectorField::write().

