Inter-particle stress model of Harris and Crighton. More...


Public Member Functions | |
| TypeName ("HarrisCrighton") | |
| Runtime type information. More... | |
| HarrisCrighton (const dictionary &dict) | |
| Constructors. More... | |
| HarrisCrighton (const HarrisCrighton &hc) | |
| Construct copy. More... | |
| virtual autoPtr< ParticleStressModel > | clone () const |
| Clone. More... | |
| virtual | ~HarrisCrighton () |
| Destructor. More... | |
| tmp< Field< scalar > > | tau (const Field< scalar > &alpha, const Field< scalar > &rho, const Field< scalar > &uRms) const |
| Member Functions. More... | |
| tmp< Field< scalar > > | dTaudTheta (const Field< scalar > &alpha, const Field< scalar > &rho, const Field< scalar > &uRms) const |
| Collision stress derivative w.r.t. the volume fraction. More... | |
Public Member Functions inherited from ParticleStressModel | |
| TypeName ("particleStressModel") | |
| Runtime type information. More... | |
| declareRunTimeSelectionTable (autoPtr, ParticleStressModel, dictionary,(const dictionary &dict),(dict)) | |
| Declare runtime constructor selection table. More... | |
| ParticleStressModel (const dictionary &dict) | |
| Constructors. More... | |
| ParticleStressModel (const ParticleStressModel &sm) | |
| Construct a copy. More... | |
| virtual | ~ParticleStressModel () |
| Destructor. More... | |
| scalar | alphaPacked () const |
| Member Functions. More... | |
| tmp< FieldField< Field, scalar > > | tau (const FieldField< Field, scalar > &alpha, const FieldField< Field, scalar > &rho, const FieldField< Field, scalar > &uRms) const |
| Collision stress using FieldFields. More... | |
Additional Inherited Members | |
Static Public Member Functions inherited from ParticleStressModel | |
| static autoPtr< ParticleStressModel > | New (const dictionary &dict) |
| Selector. More... | |
Protected Attributes inherited from ParticleStressModel | |
| scalar | alphaPacked_ |
| Close pack volume fraction. More... | |
Inter-particle stress model of Harris and Crighton.
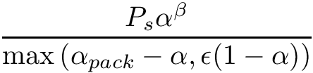
The stress value takes the following form:
Here,
is the volume fraction of the dispersed phase, and the other values are modelling constants. A small value
is used to limit the denominator to ensure numerical stability.
Reference:
"Solitons, solitary waves, and voidage disturbances in gas-fluidised
beds"
S Harris and D Crighton,
Journal of Fluid Mechanics
Volume 266, Pages 243-276, 1994
Definition at line 68 of file HarrisCrighton.H.
| HarrisCrighton | ( | const dictionary & | dict | ) |
Constructors.
Construct from components
Definition at line 49 of file HarrisCrighton.C.
Referenced by HarrisCrighton::clone().

| HarrisCrighton | ( | const HarrisCrighton & | hc | ) |
Construct copy.
Definition at line 61 of file HarrisCrighton.C.
|
virtual |
Destructor.
Definition at line 75 of file HarrisCrighton.C.
| TypeName | ( | "HarrisCrighton" | ) |
Runtime type information.
|
inlinevirtual |
Clone.
Implements ParticleStressModel.
Definition at line 105 of file HarrisCrighton.H.
References HarrisCrighton::HarrisCrighton().

|
virtual |
Member Functions.
Collision stress
Implements ParticleStressModel.
Definition at line 99 of file HarrisCrighton.C.
References alpha(), and Foam::pow().

|
virtual |
Collision stress derivative w.r.t. the volume fraction.
Implements ParticleStressModel.
Definition at line 116 of file HarrisCrighton.C.
References alpha(), and Foam::pow().
