This boundary condition provides a turbulence specific dissipation,
(omega) inlet condition based on a specified mixing length. The patch values are calculated using:
More...


Public Member Functions | |
| TypeName ("turbulentMixingLengthFrequencyInlet") | |
| Runtime type information. More... | |
| turbulentMixingLengthFrequencyInletFvPatchScalarField (const fvPatch &, const DimensionedField< scalar, volMesh > &, const dictionary &) | |
| Construct from patch, internal field and dictionary. More... | |
| turbulentMixingLengthFrequencyInletFvPatchScalarField (const turbulentMixingLengthFrequencyInletFvPatchScalarField &, const fvPatch &, const DimensionedField< scalar, volMesh > &, const fieldMapper &) | |
| Construct by mapping given. More... | |
| turbulentMixingLengthFrequencyInletFvPatchScalarField (const turbulentMixingLengthFrequencyInletFvPatchScalarField &)=delete | |
| Disallow copy without setting internal field reference. More... | |
| turbulentMixingLengthFrequencyInletFvPatchScalarField (const turbulentMixingLengthFrequencyInletFvPatchScalarField &, const DimensionedField< scalar, volMesh > &) | |
| Copy constructor setting internal field reference. More... | |
| virtual tmp< fvPatchScalarField > | clone (const DimensionedField< scalar, volMesh > &iF) const |
| Construct and return a clone setting internal field reference. More... | |
| virtual void | updateCoeffs () |
| Update the coefficients associated with the patch field. More... | |
| virtual void | write (Ostream &) const |
| Write. More... | |
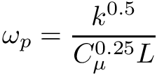
This boundary condition provides a turbulence specific dissipation,
(omega) inlet condition based on a specified mixing length. The patch values are calculated using:
where
| = | patch omega values | |
| = | Model coefficient, set to 0.09 | |
| = | turbulence kinetic energy | |
| = | length scale |
| Property | Description | Required | Default value |
|---|---|---|---|
mixingLength | Length scale [m] | yes | |
phi | flux field name | no | phi |
k | turbulence kinetic energy field name | no | k |
Cmu | Turbulence model coefficient | no | 0.09 |
Example of the boundary condition specification:
<patchName>
{
type turbulentMixingLengthFrequencyInlet;
mixingLength 0.005;
value uniform 200; // placeholder
}Note: In the event of reverse flow, a zero-gradient condition is applied
Definition at line 129 of file turbulentMixingLengthFrequencyInletFvPatchScalarField.H.
| turbulentMixingLengthFrequencyInletFvPatchScalarField | ( | const fvPatch & | p, |
| const DimensionedField< scalar, volMesh > & | iF, | ||
| const dictionary & | dict | ||
| ) |
Construct from patch, internal field and dictionary.
Definition at line 40 of file turbulentMixingLengthFrequencyInletFvPatchScalarField.C.
References dict, DimensionedField< Type, GeoMesh, PrimitiveField >::dimensions(), fvPatchField< Type >::operator, and p.

| turbulentMixingLengthFrequencyInletFvPatchScalarField | ( | const turbulentMixingLengthFrequencyInletFvPatchScalarField & | ptf, |
| const fvPatch & | p, | ||
| const DimensionedField< scalar, volMesh > & | iF, | ||
| const fieldMapper & | mapper | ||
| ) |
Construct by mapping given.
turbulentMixingLengthFrequencyInletFvPatchScalarField onto a new patch
Definition at line 66 of file turbulentMixingLengthFrequencyInletFvPatchScalarField.C.
|
delete |
Disallow copy without setting internal field reference.
| turbulentMixingLengthFrequencyInletFvPatchScalarField | ( | const turbulentMixingLengthFrequencyInletFvPatchScalarField & | ptf, |
| const DimensionedField< scalar, volMesh > & | iF | ||
| ) |
Copy constructor setting internal field reference.
Definition at line 82 of file turbulentMixingLengthFrequencyInletFvPatchScalarField.C.
| TypeName | ( | "turbulentMixingLengthFrequencyInlet" | ) |
Runtime type information.
|
inlinevirtual |
Construct and return a clone setting internal field reference.
Definition at line 186 of file turbulentMixingLengthFrequencyInletFvPatchScalarField.H.
|
virtual |
Update the coefficients associated with the patch field.
Definition at line 98 of file turbulentMixingLengthFrequencyInletFvPatchScalarField.C.
References Foam::neg(), Foam::pow(), and Foam::sqrt().

|
virtual |
Write.
Definition at line 120 of file turbulentMixingLengthFrequencyInletFvPatchScalarField.C.
References fvPatchField< Type >::write(), and Foam::writeEntry().
