This boundary condition generates a fluctuating inlet condition by adding a random component to a reference (mean) field. More...


Public Member Functions | |
| TypeName ("turbulentInlet") | |
| Runtime type information. More... | |
| turbulentInletFvPatchField (const fvPatch &, const DimensionedField< Type, volMesh > &, const dictionary &) | |
| Construct from patch, internal field and dictionary. More... | |
| turbulentInletFvPatchField (const turbulentInletFvPatchField< Type > &, const fvPatch &, const DimensionedField< Type, volMesh > &, const fieldMapper &) | |
| Construct by mapping given turbulentInletFvPatchField. More... | |
| turbulentInletFvPatchField (const turbulentInletFvPatchField< Type > &)=delete | |
| Disallow copy without setting internal field reference. More... | |
| turbulentInletFvPatchField (const turbulentInletFvPatchField< Type > &, const DimensionedField< Type, volMesh > &) | |
| Copy constructor setting internal field reference. More... | |
| virtual tmp< fvPatchField< Type > > | clone (const DimensionedField< Type, volMesh > &iF) const |
| Construct and return a clone setting internal field reference. More... | |
| const Type & | fluctuationScale () const |
| Return the fluctuation scale. More... | |
| Type & | fluctuationScale () |
| Return reference to the fluctuation scale to allow adjustment. More... | |
| const Field< Type > & | referenceField () const |
| Return the reference field. More... | |
| Field< Type > & | referenceField () |
| Return reference to the reference field to allow adjustment. More... | |
| virtual void | map (const fvPatchField< Type > &, const fieldMapper &) |
| Map the given fvPatchField onto this fvPatchField. More... | |
| virtual void | reset (const fvPatchField< Type > &) |
| Reset the fvPatchField to the given fvPatchField. More... | |
| virtual void | updateCoeffs () |
| Update the coefficients associated with the patch field. More... | |
| virtual void | write (Ostream &) const |
| Write. More... | |
Public Member Functions inherited from fixedValueFvPatchField< Type > | |
| TypeName ("fixedValue") | |
| Runtime type information. More... | |
| fixedValueFvPatchField (const fvPatch &, const DimensionedField< Type, volMesh > &) | |
| Construct from patch and internal field. More... | |
| fixedValueFvPatchField (const fvPatch &, const DimensionedField< Type, volMesh > &, const dictionary &, const bool valueRequired=true) | |
| Construct from patch, internal field and dictionary. More... | |
| fixedValueFvPatchField (const fixedValueFvPatchField< Type > &, const fvPatch &, const DimensionedField< Type, volMesh > &, const fieldMapper &, const bool mappingRequired=true) | |
| Construct by mapping the given fixedValueFvPatchField<Type> More... | |
| fixedValueFvPatchField (const fixedValueFvPatchField< Type > &)=delete | |
| Disallow copy without setting internal field reference. More... | |
| fixedValueFvPatchField (const fixedValueFvPatchField< Type > &, const DimensionedField< Type, volMesh > &) | |
| Copy constructor setting internal field reference. More... | |
| virtual bool | fixesValue () const |
| Return true if this patch field fixes a value. More... | |
| virtual bool | assignable () const |
| Return false: this patch field is not altered by assignment. More... | |
| virtual tmp< Field< Type > > | valueInternalCoeffs (const tmp< scalarField > &) const |
| Return the matrix diagonal coefficients corresponding to the. More... | |
| virtual tmp< Field< Type > > | valueBoundaryCoeffs (const tmp< scalarField > &) const |
| Return the matrix source coefficients corresponding to the. More... | |
| virtual tmp< Field< Type > > | gradientInternalCoeffs () const |
| Return the matrix diagonal coefficients corresponding to the. More... | |
| virtual tmp< Field< Type > > | gradientBoundaryCoeffs () const |
| Return the matrix source coefficients corresponding to the. More... | |
| virtual void | operator= (const UList< Type > &) |
| virtual void | operator= (const fvPatchField< Type > &) |
| virtual void | operator+= (const fvPatchField< Type > &) |
| virtual void | operator-= (const fvPatchField< Type > &) |
| virtual void | operator*= (const fvPatchField< scalar > &) |
| virtual void | operator/= (const fvPatchField< scalar > &) |
| virtual void | operator+= (const Field< Type > &) |
| virtual void | operator-= (const Field< Type > &) |
| virtual void | operator*= (const Field< scalar > &) |
| virtual void | operator/= (const Field< scalar > &) |
| virtual void | operator= (const Type &) |
| virtual void | operator+= (const Type &) |
| virtual void | operator-= (const Type &) |
| virtual void | operator*= (const scalar) |
| virtual void | operator/= (const scalar) |
Public Member Functions inherited from fvPatchField< Type > | |
| TypeName ("fvPatchField") | |
| Runtime type information. More... | |
| declareRunTimeSelectionTable (tmp, fvPatchField, patch,(const fvPatch &p, const DimensionedField< Type, volMesh > &iF),(p, iF)) | |
| declareRunTimeSelectionTable (tmp, fvPatchField, patchMapper,(const fvPatchField< Type > &ptf, const fvPatch &p, const DimensionedField< Type, volMesh > &iF, const fieldMapper &m),(dynamic_cast< const fvPatchFieldType & >(ptf), p, iF, m)) | |
| declareRunTimeSelectionTable (tmp, fvPatchField, dictionary,(const fvPatch &p, const DimensionedField< Type, volMesh > &iF, const dictionary &dict),(p, iF, dict)) | |
| fvPatchField (const fvPatch &, const DimensionedField< Type, volMesh > &) | |
| Construct from patch and internal field. More... | |
| fvPatchField (const fvPatch &, const DimensionedField< Type, volMesh > &, const Field< Type > &) | |
| Construct from patch and internal field and patch field. More... | |
| fvPatchField (const fvPatch &, const DimensionedField< Type, volMesh > &, const dictionary &, const bool valueRequired=true) | |
| Construct from patch, internal field and dictionary. More... | |
| fvPatchField (const fvPatchField< Type > &, const fvPatch &, const DimensionedField< Type, volMesh > &, const fieldMapper &, const bool mappingRequired=true) | |
| Construct by mapping the given fvPatchField onto a new patch. More... | |
| fvPatchField (const fvPatchField< Type > &)=delete | |
| Disallow copy without setting internal field reference. More... | |
| tmp< fvPatchField< Type > > | clone () const |
| Disallow clone without setting internal field reference. More... | |
| fvPatchField (const fvPatchField< Type > &, const DimensionedField< Type, volMesh > &) | |
| Copy constructor setting internal field reference. More... | |
| virtual tmp< fvPatchField< Type > > | clone (const fvPatch &patch, const DimensionedField< Type, volMesh > &iF) const |
| Construct and return a clone onto a new patch. More... | |
| virtual | ~fvPatchField () |
| Destructor. More... | |
| virtual bool | coupled () const |
| Return true if this patch field is coupled. More... | |
| bool | overridesConstraint () const |
| Return true if this overrides the underlying constraint type. More... | |
| const objectRegistry & | db () const |
| Return local objectRegistry. More... | |
| const fvPatch & | patch () const |
| Return patch. More... | |
| const DimensionedField< Type, volMesh > & | internalField () const |
| Return dimensioned internal field reference. More... | |
| const Field< Type > & | primitiveField () const |
| Return internal field reference. More... | |
| bool | updated () const |
| Return true if the boundary condition has already been updated. More... | |
| bool | manipulatedMatrix () const |
| Return true if the matrix has already been manipulated. More... | |
| virtual tmp< Field< Type > > | snGrad () const |
| Return patch-normal gradient. More... | |
| virtual tmp< Field< Type > > | snGrad (const scalarField &deltaCoeffs) const |
| Return patch-normal gradient for coupled-patches. More... | |
| virtual tmp< Field< Type > > | patchInternalField () const |
| Return internal field next to patch as patch field. More... | |
| virtual void | patchInternalField (Field< Type > &) const |
| Return internal field next to patch as patch field. More... | |
| virtual void | initPatchNeighbourField (const Pstream::commsTypes commsType=Pstream::commsTypes::blocking) const |
| Initialise return of the patchField on the opposite patch of a. More... | |
| virtual tmp< Field< Type > > | patchNeighbourField (const Pstream::commsTypes commsType=Pstream::commsTypes::blocking) const |
| Return patchField on the opposite patch of a coupled patch. More... | |
| virtual void | initEvaluate (const Pstream::commsTypes commsType=Pstream::commsTypes::blocking) |
| Initialise the evaluation of the patch field. More... | |
| virtual void | evaluate (const Pstream::commsTypes commsType=Pstream::commsTypes::blocking) |
| Evaluate the patch field, sets Updated to false. More... | |
| virtual tmp< Field< Type > > | valueInternalCoeffs (const tmp< Field< scalar >> &) const |
| Return the matrix diagonal coefficients corresponding to the. More... | |
| virtual tmp< Field< Type > > | valueBoundaryCoeffs (const tmp< Field< scalar >> &) const |
| Return the matrix source coefficients corresponding to the. More... | |
| virtual tmp< Field< Type > > | gradientInternalCoeffs (const scalarField &deltaCoeffs) const |
| Return the matrix diagonal coefficients corresponding to the. More... | |
| virtual tmp< Field< Type > > | gradientBoundaryCoeffs (const scalarField &deltaCoeffs) const |
| Return the matrix source coefficients corresponding to the. More... | |
| virtual void | manipulateMatrix (fvMatrix< Type > &matrix) |
| Manipulate matrix. More... | |
| void | check (const fvPatchField< Type > &) const |
| Check fvPatchField<Type> against given fvPatchField<Type> More... | |
| virtual void | operator== (const fvPatchField< Type > &) |
| virtual void | operator== (const Field< Type > &) |
| virtual void | operator== (const Type &) |
| template<class Type2 > | |
| Foam::tmp< Foam::fvPatchField< Type > > | NewCalculatedType (const fvPatchField< Type2 > &pf) |
Public Member Functions inherited from Field< Type > | |
| Field () | |
| Construct null. More... | |
| Field (const label) | |
| Construct given size. More... | |
| Field (const label, const Type &) | |
| Construct given size and initial value. More... | |
| Field (const label, const zero) | |
| Construct given size and initialised to zero. More... | |
| Field (const UList< Type > &) | |
| Copy constructor of a UList<Type> More... | |
| Field (List< Type > &&) | |
| Mover constructor transferring the List contents. More... | |
| Field (const UIndirectList< Type > &) | |
| Copy constructor of a UIndirectList<Type> More... | |
| Field (const Field< Type > &) | |
| Copy constructor. More... | |
| Field (Field< Type > &, bool reuse) | |
| Copy constructor or reuse as specified. More... | |
| Field (Field< Type > &&) | |
| Move constructor transferring the Field contents. More... | |
| Field (const tmp< Field< Type >> &) | |
| Copy constructor of tmp<Field> More... | |
| Field (const UList< Type > &mapF, const labelUList &mapAddressing) | |
| Construct by 1 to 1 mapping from the given field. More... | |
| Field (const tmp< Field< Type >> &tmapF, const labelUList &mapAddressing) | |
| Construct by 1 to 1 mapping from the given tmp field. More... | |
| Field (const UList< Type > &mapF, const labelListList &mapAddressing, const scalarListList &weights) | |
| Construct by interpolative mapping from the given field. More... | |
| Field (const tmp< Field< Type >> &tmapF, const labelListList &mapAddressing, const scalarListList &weights) | |
| Construct by interpolative mapping from the given tmp field. More... | |
| Field (Istream &) | |
| Construct from Istream. More... | |
| Field (const word &keyword, const dictionary &, const label size) | |
| Construct from a dictionary entry. More... | |
| Field (const word &keyword, const unitConversion &, const dictionary &, const label size) | |
| Construct from a dictionary entry with unit conversion. More... | |
| tmp< Field< Type > > | clone () const |
| Clone. More... | |
| void | map (const UList< Type > &mapF, const labelUList &mapAddressing) |
| 1 to 1 map from the given field More... | |
| void | map (const tmp< Field< Type >> &tmapF, const labelUList &mapAddressing) |
| 1 to 1 map from the given tmp field More... | |
| void | map (const UList< Type > &mapF, const labelListList &mapAddressing, const scalarListList &weights) |
| Interpolative map from the given field. More... | |
| void | map (const tmp< Field< Type >> &tmapF, const labelListList &mapAddressing, const scalarListList &weights) |
| Interpolative map from the given tmp field. More... | |
| void | rmap (const UList< Type > &mapF, const labelUList &mapAddressing) |
| 1 to 1 reverse-map from the given field More... | |
| void | rmap (const tmp< Field< Type >> &tmapF, const labelUList &mapAddressing) |
| 1 to 1 reverse-map from the given tmp field More... | |
| void | rmap (const UList< Type > &mapF, const labelUList &mapAddressing, const UList< scalar > &weights) |
| Interpolative reverse map from the given field. More... | |
| void | rmap (const tmp< Field< Type >> &tmapF, const labelUList &mapAddressing, const UList< scalar > &weights) |
| Interpolative reverse map from the given tmp field. More... | |
| void | reset (const Field< Type > &) |
| Reset the field values to the given field. More... | |
| void | reset (const UList< Type > &) |
| Reset the field values to the given field. More... | |
| void | negate () |
| Negate this field. More... | |
| tmp< Field< cmptType > > | component (const direction) const |
| Return a component field of the field. More... | |
| void | replace (const direction, const UList< cmptType > &) |
| Replace a component field of the field. More... | |
| void | replace (const direction, const tmp< Field< cmptType >> &) |
| Replace a component field of the field. More... | |
| void | replace (const direction, const cmptType &) |
| Replace a component field of the field. More... | |
| template<class VSForm > | |
| VSForm | block (const label start) const |
| tmp< Field< Type > > | T () const |
| Return the field transpose (only defined for second rank tensors) More... | |
| void | operator= (const Field< Type > &) |
| void | operator= (Field< Type > &&) |
| void | operator= (const UList< Type > &) |
| void | operator= (List< Type > &&) |
| void | operator= (const tmp< Field< Type >> &) |
| void | operator= (const Type &) |
| void | operator= (const zero) |
| template<class Form , class Cmpt , direction nCmpt> | |
| void | operator= (const VectorSpace< Form, Cmpt, nCmpt > &) |
| void | operator+= (const UList< Type > &) |
| void | operator+= (const tmp< Field< Type >> &) |
| void | operator-= (const UList< Type > &) |
| void | operator-= (const tmp< Field< Type >> &) |
| void | operator*= (const UList< scalar > &) |
| void | operator*= (const tmp< Field< scalar >> &) |
| void | operator/= (const UList< scalar > &) |
| void | operator/= (const tmp< Field< scalar >> &) |
| void | operator+= (const Type &) |
| void | operator-= (const Type &) |
| void | operator*= (const scalar &) |
| void | operator/= (const scalar &) |
| template<class Type > | |
| void | operator= (const tmp< Field > &rhs) |
Public Member Functions inherited from refCount | |
| int | count () const |
| Return the current reference count. More... | |
| bool | unique () const |
| Return true if the reference count is zero. More... | |
| void | operator++ () |
| Increment the reference count. More... | |
| void | operator++ (int) |
| Increment the reference count. More... | |
| void | operator-- () |
| Decrement the reference count. More... | |
| void | operator-- (int) |
| Decrement the reference count. More... | |
| void | operator= (const refCount &)=delete |
| Disallow bitwise assignment. More... | |
Public Member Functions inherited from List< Type > | |
| List () | |
| Null constructor. More... | |
| List (const label) | |
| Construct with given size. More... | |
| List (const label, const Type &) | |
| Construct with given size and value for all elements. More... | |
| List (const label, const zero) | |
| Construct with given size initialising all elements to zero. More... | |
| List (const List< Type > &) | |
| Copy constructor. More... | |
| List (const UList< T2 > &) | |
| Copy constructor from list containing another type. More... | |
| List (List< Type > &&) | |
| Move constructor. More... | |
| List (List< Type > &, bool reuse) | |
| Construct as copy or reuse as specified. More... | |
| List (const UList< Type > &, const labelUList &mapAddressing) | |
| Construct as subset. More... | |
| List (InputIterator first, InputIterator last) | |
| Construct given start and end iterators. More... | |
| List (const FixedList< Type, Size > &) | |
| Construct as copy of FixedList<T, Size> More... | |
| List (const PtrList< Type > &) | |
| Construct as copy of PtrList<T> More... | |
| List (const SLList< Type > &) | |
| Construct as copy of SLList<T> More... | |
| List (const UIndirectList< Type > &) | |
| Construct as copy of UIndirectList<T> More... | |
| List (const BiIndirectList< Type > &) | |
| Construct as copy of BiIndirectList<T> More... | |
| List (std::initializer_list< Type >) | |
| Construct from an initialiser list. More... | |
| List (Istream &) | |
| Construct from Istream. More... | |
| label | size () const |
| Return the number of elements in the UList. More... | |
| autoPtr< List< Type > > | clone () const |
| Clone. More... | |
| ~List () | |
| Destructor. More... | |
| void | resize (const label) |
| Alias for setSize(const label) More... | |
| void | resize (const label, const Type &) |
| Alias for setSize(const label, const T&) More... | |
| void | setSize (const label) |
| Reset size of List. More... | |
| void | setSize (const label, const Type &) |
| Reset size of List and value for new elements. More... | |
| void | clear () |
| Clear the list, i.e. set size to zero. More... | |
| void | append (const Type &) |
| Append an element at the end of the list. More... | |
| void | append (const UList< Type > &) |
| Append a List at the end of this list. More... | |
| void | append (const UIndirectList< Type > &) |
| Append a UIndirectList at the end of this list. More... | |
| void | transfer (List< Type > &) |
| Transfer the contents of the argument List into this list. More... | |
| void | transfer (DynamicList< Type, SizeInc, SizeMult, SizeDiv > &) |
| Transfer the contents of the argument List into this list. More... | |
| void | transfer (SortableList< Type > &) |
| Transfer the contents of the argument List into this list. More... | |
| Type & | newElmt (const label) |
| Return subscript-checked element of UList. More... | |
| void | shallowCopy (const UList< Type > &)=delete |
| Disallow implicit shallowCopy. More... | |
| void | operator= (const UList< Type > &) |
| Assignment to UList operator. Takes linear time. More... | |
| void | operator= (const List< Type > &) |
| Assignment operator. Takes linear time. More... | |
| void | operator= (List< Type > &&) |
| Move assignment operator. More... | |
| void | operator= (const SLList< Type > &) |
| Assignment to SLList operator. Takes linear time. More... | |
| void | operator= (const UIndirectList< Type > &) |
| Assignment to UIndirectList operator. Takes linear time. More... | |
| void | operator= (const BiIndirectList< Type > &) |
| Assignment to BiIndirectList operator. Takes linear time. More... | |
| void | operator= (std::initializer_list< Type >) |
| Assignment to an initialiser list. More... | |
| void | operator= (const Type &) |
| Assignment of all entries to the given value. More... | |
| void | operator= (const zero) |
| Assignment of all entries to zero. More... | |
Public Member Functions inherited from UList< Type > | |
| void | operator= (const Type &) |
| Assignment of all entries to the given value. More... | |
| void | operator= (const zero) |
| Assignment of all entries to zero. More... | |
| UList () | |
| Null constructor. More... | |
| UList (Type *__restrict__ v, label size) | |
| Construct from components. More... | |
| UList (const UList< Type > &)=default | |
| Copy construct. More... | |
| label | fcIndex (const label i) const |
| Return the forward circular index, i.e. the next index. More... | |
| label | rcIndex (const label i) const |
| Return the reverse circular index, i.e. the previous index. More... | |
| std::streamsize | byteSize () const |
| Return the binary size in number of characters of the UList. More... | |
| const Type * | cdata () const |
| Return a const pointer to the first data element,. More... | |
| Type * | data () |
| Return a pointer to the first data element,. More... | |
| Type & | first () |
| Return the first element of the list. More... | |
| const Type & | first () const |
| Return first element of the list. More... | |
| Type & | last () |
| Return the last element of the list. More... | |
| const Type & | last () const |
| Return the last element of the list. More... | |
| void | checkStart (const label start) const |
| Check start is within valid range (0 ... size-1) More... | |
| void | checkSize (const label size) const |
| Check size is within valid range (0 ... size) More... | |
| void | checkIndex (const label i) const |
| Check index i is within valid range (0 ... size-1) More... | |
| void | shallowCopy (const UList< Type > &) |
| Copy the pointer held by the given UList. More... | |
| void | deepCopy (const UList< Type > &) |
| Copy elements of the given UList. More... | |
| Type & | operator[] (const label) |
| Return element of UList. More... | |
| const Type & | operator[] (const label) const |
| Return element of constant UList. More... | |
| const bool & | operator[] (const label i) const |
| operator const Foam::List< Type > & () const | |
| Allow cast to a const List<T>&. More... | |
| iterator | begin () |
| Return an iterator to begin traversing the UList. More... | |
| const_iterator | begin () const |
| Return const_iterator to begin traversing the constant UList. More... | |
| iterator | end () |
| Return an iterator to end traversing the UList. More... | |
| const_iterator | end () const |
| Return const_iterator to end traversing the constant UList. More... | |
| const_iterator | cbegin () const |
| Return const_iterator to begin traversing the constant UList. More... | |
| const_iterator | cend () const |
| Return const_iterator to end traversing the constant UList. More... | |
| reverse_iterator | rbegin () |
| Return reverse_iterator to begin reverse traversing the UList. More... | |
| const_reverse_iterator | rbegin () const |
| Return const_reverse_iterator to begin reverse traversing the UList. More... | |
| reverse_iterator | rend () |
| Return reverse_iterator to end reverse traversing the UList. More... | |
| const_reverse_iterator | rend () const |
| Return const_reverse_iterator to end reverse traversing the UList. More... | |
| const_reverse_iterator | crbegin () const |
| Return const_reverse_iterator to begin reverse traversing the UList. More... | |
| const_reverse_iterator | crend () const |
| Return const_reverse_iterator to end reverse traversing the UList. More... | |
| label | size () const |
| Return the number of elements in the UList. More... | |
| label | max_size () const |
| Return size of the largest possible UList. More... | |
| bool | empty () const |
| Return true if the UList is empty (ie, size() is zero) More... | |
| void | swap (UList< Type > &) |
| Swap two ULists of the same type in constant time. More... | |
| bool | operator== (const UList< Type > &) const |
| Equality operation on ULists of the same type. More... | |
| bool | operator!= (const UList< Type > &) const |
| The opposite of the equality operation. Takes linear time. More... | |
| bool | operator< (const UList< Type > &) const |
| Compare two ULists lexicographically. Takes linear time. More... | |
| bool | operator> (const UList< Type > &) const |
| Compare two ULists lexicographically. Takes linear time. More... | |
| bool | operator<= (const UList< Type > &) const |
| Return true if !(a > b). Takes linear time. More... | |
| bool | operator>= (const UList< Type > &) const |
| Return true if !(a < b). Takes linear time. More... | |
Additional Inherited Members | |
Public Types inherited from fvPatchField< Type > | |
| typedef fvPatch | Patch |
| The patch type. More... | |
| typedef calculatedFvPatchField< Type > | Calculated |
| The calculated patch field type. More... | |
| typedef slicedFvPatchField< Type > | Sliced |
| The sliced patch field type. More... | |
Public Types inherited from Field< Type > | |
| typedef pTraits< Type >::cmptType | cmptType |
| Component type. More... | |
| typedef SubField< Type > | subField |
| Declare type of subField. More... | |
Public Types inherited from List< Type > | |
| typedef SubList< Type > | subList |
| Declare type of subList. More... | |
Public Types inherited from UList< Type > | |
| typedef Type | value_type |
| Type of values the UList contains. More... | |
| typedef Type & | reference |
| Type that can be used for storing into. More... | |
| typedef const Type & | const_reference |
| Type that can be used for storing into. More... | |
| typedef label | difference_type |
| The type that can represent the difference between any two. More... | |
| typedef label | size_type |
| The type that can represent the size of a UList. More... | |
| typedef Type * | iterator |
| Random access iterator for traversing UList. More... | |
| typedef const Type * | const_iterator |
| Random access iterator for traversing UList. More... | |
| typedef std::reverse_iterator< iterator > | reverse_iterator |
| Reverse iterator for reverse traversal of UList. More... | |
| typedef std::reverse_iterator< const_iterator > | const_reverse_iterator |
| Reverse iterator for reverse traversal of constant UList. More... | |
Static Public Member Functions inherited from fvPatchField< Type > | |
| static tmp< fvPatchField< Type > > | New (const word &, const fvPatch &, const DimensionedField< Type, volMesh > &) |
| Return a pointer to a new patchField created on freestore given. More... | |
| static tmp< fvPatchField< Type > > | New (const word &, const word &actualPatchType, const fvPatch &, const DimensionedField< Type, volMesh > &) |
| Return a pointer to a new patchField created on freestore given. More... | |
| static tmp< fvPatchField< Type > > | New (const fvPatchField< Type > &, const fvPatch &, const DimensionedField< Type, volMesh > &, const fieldMapper &) |
| Return a pointer to a new patchField created on freestore from. More... | |
| static tmp< fvPatchField< Type > > | New (const fvPatch &, const DimensionedField< Type, volMesh > &, const dictionary &) |
| Return a pointer to a new patchField created on freestore. More... | |
| static tmp< fvPatchField< Type > > | NewCalculatedType (const fvPatch &) |
| Return a pointer to a new calculatedFvPatchField created on. More... | |
| template<class Type2 > | |
| static tmp< fvPatchField< Type > > | NewCalculatedType (const fvPatchField< Type2 > &) |
| Return a pointer to a new calculatedFvPatchField created on. More... | |
| static const word & | calculatedType () |
| Return the type of the calculated for of fvPatchField. More... | |
Static Public Member Functions inherited from Field< Type > | |
| static const Field< Type > & | null () |
| Return a null field. More... | |
| template<class Type2 > | |
| static tmp< Field< Type > > | NewCalculatedType (const Field< Type2 > &f) |
| Return a pointer to a new calculatedFvPatchFieldField created on. More... | |
Static Public Member Functions inherited from List< Type > | |
| static const List< Type > & | null () |
| Return a null List. More... | |
Static Public Member Functions inherited from UList< Type > | |
| static const UList< Type > & | null () |
| Return a null UList. More... | |
Static Public Attributes inherited from fvPatchField< Type > | |
| static int | disallowGenericFvPatchField |
| Debug switch to disallow the use of genericFvPatchField. More... | |
Static Public Attributes inherited from Field< Type > | |
| static const char *const | typeName |
Protected Member Functions inherited from refCount | |
| refCount () | |
| Construct null initialising count to 0. More... | |
| refCount (const refCount &)=delete | |
| Disallow copy. More... | |
Protected Member Functions inherited from List< Type > | |
| void | size (const label) |
| Override size to be inconsistent with allocated storage. More... | |
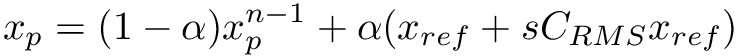
This boundary condition generates a fluctuating inlet condition by adding a random component to a reference (mean) field.
where
| = | patch values | |
| = | reference patch values | |
| = | time level | |
| = | fraction of new random component added to previous time value | |
| = | RMS coefficient | |
| = | fluctuation scale |
| Property | Description | Required | Default value |
|---|---|---|---|
fluctuationScale | RMS fluctuation scale (fraction of mean) | yes | |
referenceField | reference (mean) field | yes | |
alpha | fraction of new random component added to previous | no | 0.1 |
Example of the boundary condition specification:
<patchName>
{
type turbulentInlet;
fluctuationScale 0.1;
referenceField uniform 10;
alpha 0.1;
}Definition at line 132 of file turbulentInletFvPatchField.H.
| turbulentInletFvPatchField | ( | const fvPatch & | p, |
| const DimensionedField< Type, volMesh > & | iF, | ||
| const dictionary & | dict | ||
| ) |
Construct from patch, internal field and dictionary.
Definition at line 31 of file turbulentInletFvPatchField.C.
References dict, DimensionedField< Type, GeoMesh, PrimitiveField >::dimensions(), fvPatchField< Type >::operator==(), and p.

| turbulentInletFvPatchField | ( | const turbulentInletFvPatchField< Type > & | ptf, |
| const fvPatch & | p, | ||
| const DimensionedField< Type, volMesh > & | iF, | ||
| const fieldMapper & | mapper | ||
| ) |
Construct by mapping given turbulentInletFvPatchField.
onto a new patch
Definition at line 60 of file turbulentInletFvPatchField.C.
|
delete |
Disallow copy without setting internal field reference.
| turbulentInletFvPatchField | ( | const turbulentInletFvPatchField< Type > & | ptf, |
| const DimensionedField< Type, volMesh > & | iF | ||
| ) |
Copy constructor setting internal field reference.
Definition at line 78 of file turbulentInletFvPatchField.C.
| TypeName | ( | "turbulentInlet" | ) |
Runtime type information.
|
inlinevirtual |
Construct and return a clone setting internal field reference.
Reimplemented from fixedValueFvPatchField< Type >.
Definition at line 194 of file turbulentInletFvPatchField.H.
|
inline |
Return the fluctuation scale.
Definition at line 211 of file turbulentInletFvPatchField.H.
|
inline |
Return reference to the fluctuation scale to allow adjustment.
Definition at line 217 of file turbulentInletFvPatchField.H.
|
inline |
Return the reference field.
Definition at line 223 of file turbulentInletFvPatchField.H.
|
inline |
Return reference to the reference field to allow adjustment.
Definition at line 229 of file turbulentInletFvPatchField.H.
|
virtual |
Map the given fvPatchField onto this fvPatchField.
Reimplemented from fvPatchField< Type >.
Definition at line 96 of file turbulentInletFvPatchField.C.
References fvPatchField< Type >::map().

|
virtual |
Reset the fvPatchField to the given fvPatchField.
Used for mesh to mesh mapping
Reimplemented from fvPatchField< Type >.
Definition at line 112 of file turbulentInletFvPatchField.C.
References turbulentInletFvPatchField< Type >::reset(), and fvPatchField< Type >::reset().
Referenced by turbulentInletFvPatchField< Type >::reset().


|
virtual |
Update the coefficients associated with the patch field.
Reimplemented from fvPatchField< Type >.
Definition at line 127 of file turbulentInletFvPatchField.C.
References Foam::cmptMultiply(), forAll, Foam::mag(), Foam::sqr(), Foam::sqrt(), timeIndex, and fvPatchField< Type >::updateCoeffs().

|
virtual |
Write.
Reimplemented from fixedValueFvPatchField< Type >.
Definition at line 169 of file turbulentInletFvPatchField.C.
References fvPatchField< Type >::write(), and Foam::writeEntry().
