Daughter size distribution model of Laakkonen et al. (2007). Note that the diameters in the original expression were substituted by bubble volumes giving. More...


Public Member Functions | |
| TypeName ("Laakkonen") | |
| Runtime type information. More... | |
| LaakkonenDaughterSizeDistribution (const breakupModel &breakup, const dictionary &dict) | |
| virtual | ~LaakkonenDaughterSizeDistribution () |
| Destructor. More... | |
| dimensionedScalar | antiderivative (const dimensionedScalar &xk, const dimensionedScalar &v, const dimensionedScalar &bndr, const dimensionedScalar range) const |
| Calculate antiderivative. More... | |
| virtual dimensionedScalar | calcNik (const label i, const label k) const |
| Calculate contribution to sizeGroup i due to breakup in sizeGroup k. More... | |
Public Member Functions inherited from daughterSizeDistributionModel | |
| TypeName ("daughterSizeDistributionModel") | |
| Runtime type information. More... | |
| declareRunTimeSelectionTable (autoPtr, daughterSizeDistributionModel, dictionary,(const breakupModel &breakup, const dictionary &dict),(breakup, dict)) | |
| daughterSizeDistributionModel (const breakupModel &breakup, const dictionary &dict) | |
| virtual | ~daughterSizeDistributionModel () |
| Destructor. More... | |
| const dimensionedScalar & | nik (const label i, const label k) const |
| Return contribution to sizeGroup i due to breakup in sizeGroup k. More... | |
| void | precompute () |
| Precompute field independent expressions. More... | |
Additional Inherited Members | |
Static Public Member Functions inherited from daughterSizeDistributionModel | |
| static autoPtr< daughterSizeDistributionModel > | New (const breakupModel &breakup, const dictionary &dict) |
Protected Attributes inherited from daughterSizeDistributionModel | |
| const breakupModel & | breakup_ |
| Reference to the breakupModel. More... | |
| PtrList< PtrList< dimensionedScalar > > | nik_ |
| Contribution to sizeGroup i due to breakup in sizeGroup k. More... | |
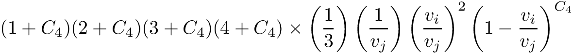
Daughter size distribution model of Laakkonen et al. (2007). Note that the diameters in the original expression were substituted by bubble volumes giving.
where
| = | Volume of daughter bubble i [m3] | |
| = | Volume of mother bubble j [m3] |
The total number of daughter bubbles generated depends on C4 and evaluates to
References:
Laakkonen, M., Moilanen, P., Alopaeus, V., & Aittamaa, J. (2007).
Modelling local bubble size distributions in agitated vessels.
Chemical Engineering Science, 62, 721–740.| Property | Description | Required | Default value |
|---|---|---|---|
C4 | Coefficient C4 | no | 18.25 |
Definition at line 105 of file LaakkonenDaughterSizeDistribution.H.
| LaakkonenDaughterSizeDistribution | ( | const breakupModel & | breakup, |
| const dictionary & | dict | ||
| ) |
Definition at line 52 of file LaakkonenDaughterSizeDistribution.C.
|
virtual |
Destructor.
Definition at line 66 of file LaakkonenDaughterSizeDistribution.C.
| TypeName | ( | "Laakkonen" | ) |
Runtime type information.
| Foam::dimensionedScalar antiderivative | ( | const dimensionedScalar & | xk, |
| const dimensionedScalar & | v, | ||
| const dimensionedScalar & | bndr, | ||
| const dimensionedScalar | range | ||
| ) | const |
Calculate antiderivative.
Definition at line 74 of file LaakkonenDaughterSizeDistribution.C.
References Foam::pow(), Foam::pow3(), range, and Foam::sqr().

|
virtual |
Calculate contribution to sizeGroup i due to breakup in sizeGroup k.
Implements daughterSizeDistributionModel.
Definition at line 100 of file LaakkonenDaughterSizeDistribution.C.