Basic sub-grid obstacle drag model. Details supplied by J Puttock 2/7/06. More...


Public Member Functions | |
| TypeName ("basic") | |
| Runtime type information. More... | |
| basic (const dictionary &PDRProperties, const compressible::RASModel &turbulence, const volScalarField &rho, const volVectorField &U, const surfaceScalarField &phi) | |
| Construct from components. More... | |
| basic (const basic &)=delete | |
| Disallow default bitwise copy construction. More... | |
| virtual | ~basic () |
| Destructor. More... | |
| virtual tmp< volSymmTensorField > | Dcu () const |
| Return the momentum drag coefficient. More... | |
| virtual tmp< volScalarField > | Gk () const |
| Return the momentum drag turbulence generation rate. More... | |
| virtual bool | read (const dictionary &PDRProperties) |
| Update properties from given dictionary. More... | |
| void | writeFields () const |
| Write fields. More... | |
| void | operator= (const basic &)=delete |
| Disallow default bitwise assignment. More... | |
Public Member Functions inherited from PDRDragModel | |
| TypeName ("PDRDragModel") | |
| Runtime type information. More... | |
| declareRunTimeSelectionTable (autoPtr, PDRDragModel, dictionary,(const dictionary &PDRProperties, const compressible::RASModel &turbulence, const volScalarField &rho, const volVectorField &U, const surfaceScalarField &phi),(PDRProperties, turbulence, rho, U, phi)) | |
| PDRDragModel (const dictionary &PDRProperties, const compressible::RASModel &turbulence, const volScalarField &rho, const volVectorField &U, const surfaceScalarField &phi) | |
| Construct from components. More... | |
| PDRDragModel (const PDRDragModel &)=delete | |
| Disallow default bitwise copy construction. More... | |
| virtual | ~PDRDragModel () |
| Destructor. More... | |
| bool | on () const |
| Return true if the drag model is switched on. More... | |
| virtual bool | writeData (Ostream &) const |
| Pure virtual writaData function. More... | |
| void | operator= (const PDRDragModel &)=delete |
| Disallow default bitwise assignment. More... | |
| virtual bool | read () |
| Inherit read from regIOobject. More... | |
Public Member Functions inherited from regIOobject | |
| TypeName ("regIOobject") | |
| Runtime type information. More... | |
| regIOobject (const IOobject &, const bool isTime=false) | |
| Construct from IOobject. Optional flag for if IOobject is the. More... | |
| regIOobject (const regIOobject &) | |
| Copy constructor. More... | |
| regIOobject (regIOobject &&) | |
| Move constructor. More... | |
| regIOobject (const regIOobject &, bool registerCopy) | |
| Copy constructor, transferring registry registration to copy. More... | |
| regIOobject (const word &newName, const regIOobject &, bool registerCopy) | |
| Copy constructor with new name, transferring registry registration. More... | |
| regIOobject (const IOobject &, const regIOobject &) | |
| Copy constructor with new IO parameters. More... | |
| virtual | ~regIOobject () |
| Destructor. More... | |
| virtual bool | global () const |
| Return true if object is global, i.e. same for all processors. More... | |
| virtual bool | globalFile () const |
| Return true if object is global, i.e. same for all processors. More... | |
| const fileName & | caseName () const |
| fileName | path () const |
| Return complete path. More... | |
| fileName | objectPath () const |
| Return complete path + object name. More... | |
| fileName | filePath () const |
| Return complete path + object name if the file exists. More... | |
| bool | checkIn () |
| Add object to registry. More... | |
| bool | checkOut () |
| Remove object from registry. More... | |
| void | addWatch () |
| Add file watch on object (if registered and READ_IF_MODIFIED) More... | |
| bool | registered () const |
| Is this object registered with the registry? More... | |
| bool | ownedByRegistry () const |
| Is this object owned by the registry? More... | |
| void | store () |
| Transfer ownership of this object to its registry. More... | |
| void | release () |
| Release ownership of this object from its registry. More... | |
| label | eventNo () const |
| Event number at last update. More... | |
| label & | eventNo () |
| Event number at last update. More... | |
| bool | upToDate (const regIOobject &) const |
| Return true if up-to-date with respect to given object. More... | |
| bool | upToDate (const regIOobject &, const regIOobject &) const |
| Return true if up-to-date with respect to given objects. More... | |
| bool | upToDate (const regIOobject &, const regIOobject &, const regIOobject &) const |
| Return true if up-to-date with respect to given objects. More... | |
| bool | upToDate (const regIOobject &, const regIOobject &, const regIOobject &, const regIOobject &) const |
| Return true if up-to-date with respect to given objects. More... | |
| void | setUpToDate () |
| Set up to date (obviously) More... | |
| virtual void | rename (const word &newName) |
| Rename. More... | |
| bool | headerOk () |
| Read and check header info. More... | |
| Istream & | readStream (const word &, const bool read=true) |
| Return Istream and check object type against that given. More... | |
| void | close () |
| Close Istream. More... | |
| virtual bool | readData (Istream &) |
| Virtual readData function. More... | |
| const labelList & | watchIndices () const |
| Return file-monitoring handles. More... | |
| labelList & | watchIndices () |
| Return file-monitoring handles. More... | |
| virtual bool | modified () const |
| Return true if the object's file (or files for objectRegistry) More... | |
| virtual bool | dependenciesModified () const |
| Return true if the object's dependencies have been modified. More... | |
| virtual bool | readIfModified () |
| Read object if modified (as set by call to modified) More... | |
| virtual bool | writeObject (IOstream::streamFormat, IOstream::versionNumber, IOstream::compressionType, const bool write) const |
| Write using given format, version and compression. More... | |
| virtual bool | write (const bool write=true) const |
| Write using setting from DB. More... | |
| void | operator= (const IOobject &)=delete |
| Assign to IOobject. More... | |
| void | operator= (const regIOobject &)=delete |
| Disallow default assignment. More... | |
| const fileName & | caseName (const bool global) const |
| fileName | path (const bool global) const |
| Return complete path including the processor sub-directory. More... | |
| fileName | objectPath (const bool global) const |
| Return complete path + object name including the processor. More... | |
| fileName | filePath (const bool global) const |
| Return complete path + object name if the file exists. More... | |
Public Member Functions inherited from IOobject | |
| TypeName ("IOobject") | |
| Runtime type information. More... | |
| IOobject (const word &name, const fileName &instance, const objectRegistry ®istry, readOption r=NO_READ, writeOption w=NO_WRITE, bool registerObject=true) | |
| Construct from name, instance, registry, io options. More... | |
| IOobject (const word &name, const fileName &instance, const fileName &local, const objectRegistry ®istry, readOption r=NO_READ, writeOption w=NO_WRITE, bool registerObject=true) | |
| Construct from name, instance, local, registry, io options. More... | |
| IOobject (const fileName &path, const objectRegistry ®istry, readOption r=NO_READ, writeOption w=NO_WRITE, bool registerObject=true) | |
| Construct from path, registry, io options. More... | |
| IOobject (const IOobject &io, const objectRegistry ®istry) | |
| Construct from copy resetting registry. More... | |
| IOobject (const IOobject &io, const word &name) | |
| Construct from copy resetting name. More... | |
| IOobject (const IOobject &io)=default | |
| Copy constructor. More... | |
| autoPtr< IOobject > | clone () const |
| Clone. More... | |
| autoPtr< IOobject > | clone (const objectRegistry ®istry) const |
| Clone resetting registry. More... | |
| virtual | ~IOobject () |
| Destructor. More... | |
| const Time & | time () const |
| Return time. More... | |
| const objectRegistry & | db () const |
| Return the local objectRegistry. More... | |
| const word & | name () const |
| Return name. More... | |
| const word & | headerClassName () const |
| Return name of the class name read from header. More... | |
| word & | headerClassName () |
| Return name of the class name read from header. More... | |
| string & | note () |
| Return non-constant access to the optional note. More... | |
| const string & | note () const |
| Return the optional note. More... | |
| bool & | registerObject () |
| Register object created from this IOobject with registry if true. More... | |
| bool | registerObject () const |
| Register object created from this IOobject with registry if true. More... | |
| readOption | readOpt () const |
| readOption & | readOpt () |
| writeOption | writeOpt () const |
| writeOption & | writeOpt () |
| word | group () const |
| Return group (extension part of name) More... | |
| word | member () const |
| Return member (name without the extension) More... | |
| const fileName & | rootPath () const |
| const fileName & | caseName (const bool global) const |
| fileName & | instance () const |
| Return the instance directory, constant, system, <time> etc. More... | |
| void | updateInstance () const |
| If the instance is a time directory update to the current time. More... | |
| void | updateTimeInstance () const |
| Update instance to the current time. More... | |
| const fileName & | local () const |
| fileName | path (const bool global) const |
| Return complete path including the processor sub-directory. More... | |
| fileName | objectPath (const bool global) const |
| Return complete path + object name including the processor. More... | |
| fileName | relativePath () const |
| Return the path relative to the case directory. More... | |
| fileName | relativeObjectPath () const |
| Return complete relativePath + object name. More... | |
| fileName | filePath (const bool global) const |
| Return complete path + object name if the file exists. More... | |
| bool | readHeader (Istream &) |
| Read header. More... | |
| bool | headerOk () |
| Read header of local object without type-checking. More... | |
| template<class Type > | |
| void | warnNoRereading () const |
| Helper: warn that type does not support re-reading. More... | |
| bool | writeHeader (Ostream &) const |
| Write header. More... | |
| bool | writeHeader (Ostream &, const word &objectType) const |
| Write header. Allow override of type. More... | |
| bool | good () const |
| bool | bad () const |
| InfoProxy< IOobject > | info () const |
| Return info proxy. More... | |
| void | operator= (const IOobject &) |
| template<class Name > | |
| Foam::word | groupName (Name name, const word &group) |
Additional Inherited Members | |
Public Types inherited from IOobject | |
| enum | objectState { GOOD , BAD } |
| Enumeration defining the valid states of an IOobject. More... | |
| enum | readOption { MUST_READ , MUST_READ_IF_MODIFIED , READ_IF_PRESENT , NO_READ } |
| Enumeration defining the read options. More... | |
| enum | writeOption { AUTO_WRITE = 0 , NO_WRITE = 1 } |
| Enumeration defining the write options. More... | |
| enum | fileCheckTypes { timeStamp , timeStampMaster , inotify , inotifyMaster } |
| Enumeration defining the file checking options. More... | |
Static Public Member Functions inherited from PDRDragModel | |
| static autoPtr< PDRDragModel > | New (const dictionary &PDRProperties, const compressible::RASModel &turbulence, const volScalarField &rho, const volVectorField &U, const surfaceScalarField &phi) |
| Return a reference to the selected Xi model. More... | |
Static Public Member Functions inherited from regIOobject | |
| template<class Type > | |
| static Type & | store (Type *) |
| Transfer ownership of the given object pointer to its registry. More... | |
| template<class Type > | |
| static Type & | store (autoPtr< Type > &) |
| Transfer ownership of the given object pointer to its registry. More... | |
Static Public Member Functions inherited from IOobject | |
| static bool | fileNameComponents (const fileName &path, fileName &instance, fileName &local, word &name) |
| Split path into instance, local, name components. More... | |
| template<class Name > | |
| static word | groupName (Name name, const word &group) |
| static word | group (const word &name) |
| Return group (extension part of name) More... | |
| static word | member (const word &name) |
| Return member (name without the extension) More... | |
| template<class Stream > | |
| static Stream & | writeBanner (Stream &os, bool noHint=false) |
| Write the standard OpenFOAM file/dictionary banner. More... | |
| template<class Stream > | |
| static Stream & | writeDivider (Stream &os) |
| Write the standard file section divider. More... | |
| template<class Stream > | |
| static Stream & | writeEndDivider (Stream &os) |
| Write the standard end file divider. More... | |
Static Public Attributes inherited from regIOobject | |
| static float | fileModificationSkew |
Static Public Attributes inherited from IOobject | |
| static constexpr const char * | foamFile = "FoamFile" |
| Keyword for the FoamFile header sub-dictionary. More... | |
| static const NamedEnum< fileCheckTypes, 4 > | fileCheckTypesNames |
| static fileCheckTypes | fileModificationChecking |
| Type of file modification checking. More... | |
Protected Member Functions inherited from regIOobject | |
| bool | readHeaderOk (const IOstream::streamFormat defaultFormat, const word &typeName) |
| Read header, check readOpt flags and read data if necessary. More... | |
Protected Member Functions inherited from IOobject | |
| template<class Type > | |
| bool | typeHeaderOk (const bool checkType) |
| Read header using typeGlobalFile to find file. More... | |
Protected Attributes inherited from PDRDragModel | |
| dictionary | PDRDragModelCoeffs_ |
| const compressible::RASModel & | turbulence_ |
| const volScalarField & | rho_ |
| const volVectorField & | U_ |
| const surfaceScalarField & | phi_ |
| Switch | on_ |
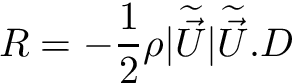
Basic sub-grid obstacle drag model. Details supplied by J Puttock 2/7/06.
Sub-grid drag term
The resistance term (force per unit of volume) is given by:
where:
is the tensor field "CR" in ![]()
This is term is treated implicitly in UEqn.H
Sub-grid turbulence generation
The turbulence source term
occurring in the
equations for the generation of turbulence due to interaction with unresolved obstacles :
![]()
where:
= 1
is the volume porosity (file "betav").
is the effective viscosity.
is the obstacle surface area per unit of volume (file "Aw").
is the slip velocity and is considered
.
is a tensor in the file CT.
The term
is treated explicitly in the
Eqs in the PDRkEpsilon.C file.
| basic | ( | const dictionary & | PDRProperties, |
| const compressible::RASModel & | turbulence, | ||
| const volScalarField & | rho, | ||
| const volVectorField & | U, | ||
| const surfaceScalarField & | phi | ||
| ) |
| TypeName | ( | "basic" | ) |
Runtime type information.
|
virtual |
Return the momentum drag coefficient.
Implements PDRDragModel.
Definition at line 92 of file basic.C.
References IOobject::db(), Foam::dimLength, Foam::dimMass, Foam::dimTime, Foam::I, objectRegistry::lookupObject(), Foam::mag(), GeometricField< Type, GeoMesh, PrimitiveField >::New(), Foam::pow(), tmp< T >::ref(), Foam::sqr(), and Foam::Zero.

|
virtual |
Return the momentum drag turbulence generation rate.
Implements PDRDragModel.
Definition at line 123 of file basic.C.
References IOobject::db(), Foam::dimLength, Foam::dimMass, Foam::dimTime, objectRegistry::lookupObject(), Foam::mag(), Foam::magSqr(), GeometricField< Type, GeoMesh, PrimitiveField >::New(), Foam::pow(), tmp< T >::ref(), and Foam::sqr().

|
virtual |
Update properties from given dictionary.
Implements PDRDragModel.
Definition at line 157 of file basic.C.
References PDRDragModel::read().

|
virtual |
|
delete |
Disallow default bitwise assignment.