Solid particle breakage model of Kusters (1991). The breakage rate is calculated by. More...


Public Member Functions | |
| TypeName ("Kusters") | |
| Runtime type information. More... | |
| Kusters (const populationBalanceModel &popBal, const dictionary &dict) | |
| virtual | ~Kusters () |
| Destructor. More... | |
| virtual void | setBreakupRate (volScalarField::Internal &breakupRate, const label i) |
| Set total breakupRate. More... | |
Public Member Functions inherited from breakupModel | |
| TypeName ("breakupModel") | |
| Runtime type information. More... | |
| declareRunTimeSelectionTable (autoPtr, breakupModel, dictionary,(const populationBalanceModel &popBal, const dictionary &dict),(popBal, dict)) | |
| breakupModel (const populationBalanceModel &popBal, const dictionary &dict) | |
| autoPtr< breakupModel > | clone () const |
| virtual | ~breakupModel () |
| Destructor. More... | |
| const populationBalanceModel & | popBal () const |
| Return reference to the populationBalanceModel. More... | |
| const autoPtr< daughterSizeDistributionModel > & | dsdPtr () const |
| Return const-reference to daughter size distribution pointer. More... | |
| autoPtr< daughterSizeDistributionModel > & | dsdPtr () |
| Return reference to daughter size distribution pointer. More... | |
| virtual void | precompute () |
| Precompute diameter independent expressions. More... | |
Additional Inherited Members | |
Static Public Member Functions inherited from breakupModel | |
| static autoPtr< breakupModel > | New (const word &type, const populationBalanceModel &popBal, const dictionary &dict) |
Protected Attributes inherited from breakupModel | |
| const populationBalanceModel & | popBal_ |
| Reference to the populationBalanceModel. More... | |
| autoPtr< daughterSizeDistributionModel > | dsd_ |
| Daughter size distribution model. More... | |
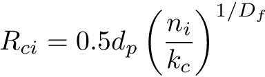
Solid particle breakage model of Kusters (1991). The breakage rate is calculated by.
where
| = | Critical force parameter for breakage [m3/s3] | |
| = | Diameter of transported particle [m] | |
| = | Diameter of primary particles [m] | |
| = | Fractal dimension of particle [-] | |
| = | Constant relative to packing density [-] | |
| = | Number of primary particles in agglomerate [-] | |
| = | Kinematic viscosity of continuous phase [m2/s] | |
| = | Continuous phase turbulent dissipation rate [m2/s3] | |
| = | Critical turbulent dissipation rate [m2/s3] |
Reference:
Kusters, K. A. (1991).
The influence of turbulence on aggregation of small particles in
agitated vessels.
PhD Thesis
| Kusters | ( | const populationBalanceModel & | popBal, |
| const dictionary & | dict | ||
| ) |
| TypeName | ( | "Kusters" | ) |
Runtime type information.
|
virtual |
Set total breakupRate.
Implements breakupModel.
Definition at line 69 of file Kusters.C.
References sizeGroup::d(), Foam::exp(), Foam::constant::mathematical::pi(), Foam::pow(), and Foam::sqrt().
